相关产品推荐更多 >
万千商家帮你免费找货
0 人在求购买到急需产品
- 详细信息
- 技术资料
- 库存:
21
- 英文名:
Saikosaponin A
- CAS号:
20736-09-8
- 保质期:
2年
- 供应商:
上海联祖
- 保存条件:
4℃冷藏、密封、避光
- 规格:
20mg/支
商品属性:
| 产品名称 | 英文名称 | 规格 | 货号 |
| 柴胡皂苷A20736-09-8 | Saikosaponin A | 20mg/支 | LZ-BP2797 |
商品介绍:
产品名称:柴胡皂苷A
中文别名: 无
英文名: Saikosaponin A
英文别名: 补充中
CAS登录号: 20736-09-8
分子式:C42H68O13
分子量: 780.98
规格: 20mg/支
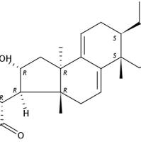
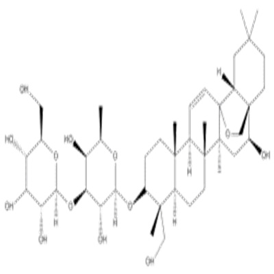
分子结构:
外观:结晶粉末
纯度: ≥ 98%
用途:用于含量测定/鉴定/药理实验等。
提取来源: 伞形科植物北柴胡,狭叶柴胡。
溶解性: 易溶于水,稀醇,特别是热水和热醇,在丁醇和戊醇中溶解性大,难溶或不溶于苯,,氯仿等溶剂。
熔点: 225~232℃
旋光度: +46°(乙醇)
鉴别方法: NMR; MS
推荐测定方法: 采用HPLC 法,色谱柱为C18柱,以-水(37:63)为流动相,检测波长为208 nm。
中国药典测定方法: 无
标准品的分类:
1.鉴别用对照品:用于药品鉴别项下的红外、薄层色谱等鉴别;
2.检测用对照品:用于药品检查项下有关物质、溶出度、含量均匀度的检测,一般对照品纯度不低于98.5%
3.含量测定用对照品:用于含量检测,纯度要求高,99%以上。
4.熔点标准品:化学性质稳定,熔点固定、熔程短的一类标准物质,用于熔点温度计的校正,如:偶氮苯(mp:69℃)、磺胺(mp:166℃)、糖精( mp:229℃ )、酚酞( mp:263℃ )
5.溶出度校正片:为特殊制备的某种药片,通常为水杨酸校正片,用于溶出度仪的校正。
IL17RA Antibody Blocking Peptide Trans Golgi Network Protein 2(TGOLN2)ELISA Kit
ZNF678 Antibody Blocking Peptide Tumor Protein, Translationally Controlled 1(TPT1)ELISA Kit
ZO-1 Antibody Blocking Peptide Farnesoid X Receptor(FXR)ELISA Kit
phospho-C-Myc (Thr373) Antibody Blocking Peptide Farnesyltransferase Beta(FNTb)ELISA Kit
EEF2 Antibody Blocking Peptide Farnesyltransferase Alpha(FNTa)ELISA Kit
CNKSR1 Antibody Blocking Peptide Dynamin 3(DNM3)ELISA Kit
RET Antibody Blocking Peptide Dynamin 1(DNM1)ELISA Kit
COQ5 Antibody Blocking Peptide Diacylglycerol(DAG)ELISA Kit
Cyclin B2 Antibody Blocking Peptide Diacylglycerol-O-Acyltransferase Homolog 2(DGAT2)ELISA Kit
PADI4 Antibody Blocking Peptide Diacylglycerol-O-Acyltransferase Homolog 1(DGAT1)ELISA Kit
AHR Antibody Blocking Peptide Dicarbonyl/L-Xylulose Reductase(DCXR)ELISA Kit
Laminin alpha 4 Antibody Blocking Peptide Dipeptidase 3(DPEP3)ELISA Kit
ZNF547 Antibody Blocking Peptide Dipeptidase 2(DPEP2)ELISA Kit
FAM122A Antibody Blocking Peptide Dipeptidyl Peptidase IV(DPP4)ELISA Kit
FKBPL Antibody Blocking Peptide Dipeptidyl Peptidase 9(DPP9)ELISA Kit
HECA Antibody Blocking Peptide Dipeptidyl Peptidase 8(DPP8)ELISA Kit
NPAS4 Antibody Blocking Peptide Dipeptidyl Peptidase 7(DPP7)ELISA Kit
MCOLN3 Antibody Blocking Peptide Dipeptidyl Peptidase 6(DPP6)ELISA Kit
CREBBP Antibody Blocking Peptide Dipeptidyl Peptidase 3(DPP3)ELISA Kit
绝对定量的标准品如何制作?
柴胡皂苷A20736-09-8绝对定量是指在实时荧光定量 PCR 实验中,对已知量的样本进行连续稀释后扩增,生成标准曲线。然后通过与此曲线比较,定量未知样本,绝对定量可测定靶点的实际拷贝数。
包括以下三个步骤:
(1) 将标准品稀释成不同浓度,作为模板进行扩增;
(2) 以标准品拷贝数的对数值为横坐标,以测得的Ct值为纵坐标绘制标准曲线;
(3) 根据未知样品的Ct值,即可在标准曲线中获得样品的拷贝数。
风险提示:丁香通仅作为第三方平台,为商家信息发布提供平台空间。用户咨询产品时请注意保护个人信息及财产安全,合理判断,谨慎选购商品,商家和用户对交易行为负责。对于医疗器械类产品,请先查证核实企业经营资质和医疗器械产品注册证情况。
技术资料暂无技术资料 索取技术资料
柴胡皂苷A20736-09-8
¥500 - 3800










