相关产品推荐更多 >
万千商家帮你免费找货
0 人在求购买到急需产品
- 详细信息
- 文献和实验
- 技术资料
- 库存:
37
- 英文名:
Qingyangshengenin B
- CAS号:
106758-54-7
- 保质期:
2年
- 供应商:
上海联祖
- 保存条件:
4℃冷藏、密封、避光
- 规格:
20mg/支
商品属性:
商品介绍:
产品名称:青阳参苷元B
中文别名: 青阳参甙元B
英文名: Qingyangshengenin B
英文别名: 补充中
CAS登录号: 106758-54-7
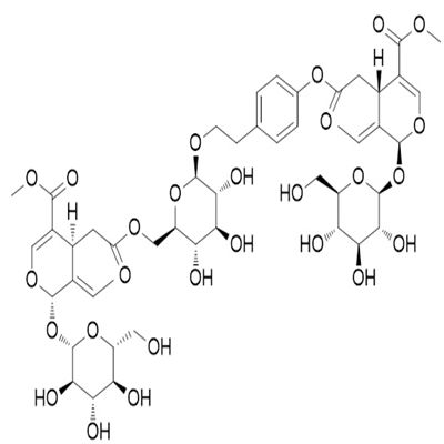
分子式:C49H78O16
分子量: 923.14
规格: 20 mg/支
分子结构:
外观:白色粉末
纯度: ≥ 96%
用途:用于含量测定/鉴定/药理实验等。
提取来源: 萝藦科植物白首乌(Cynanchum bungeiHemsl)
溶解性: 可溶于吡啶、DMSO等有机溶剂。
熔点: 补充中
旋光度: 补充中
鉴别方法: NMR; MS
推荐测定方法: 补充中
中国药典测定方法: 无
药理药效: 具有一定的养血固本作用。
贮存条件: 4℃冷藏、密封、避光
有效期: 2年
供货能力: 大量现货
标准品的选择原则:
1.考虑标准品的稳定性
如:阿莫西林的对照品选阿莫西林三水合物(其稳定性优于阿莫西林及其一水合物)。
2.考虑盐基、酸根的不同
如:某些药物杂质对照品,有些做成盐酸盐,有些为游离碱,在选择和使用过程也要注意哪个适合自己。若用于测含量要考虑换算因子。
3.用作红外鉴别的对照品要考虑晶型的一致。(晶型不一致、红外很有可能不一致)
4.官方对照品往往用于定位或含量检测,往往不建议用作晶型鉴定、或红外标准图谱(官方对照品的制备工艺很大程度与生产工艺不一致,有可能是HPLC制备纯化得到的,晶型无法保证一致性,有少数产品官方也会提供产品对照光谱,国内也有红外光谱集)
公司正在出售的产品:
TNFSF11 Antibody Blocking Peptide Neuropeptide B(NPB)ELISA Kit
C1orf226 Antibody Blocking Peptide Ninjurin 2(NINJ2)ELISA Kit
NLRP8 Antibody Blocking Peptide Ninjurin 1(NINJ1)ELISA Kit
PTEN Antibody Blocking Peptide Neuroplastin(NPTN)ELISA Kit
GAK protein Antibody Blocking Peptide Neurofilament 3(NEF3)ELISA Kit
TNFRSF9 Antibody Blocking Peptide Neurofascin(NFASC)ELISA Kit
Nanog Antibody Blocking Peptide Neuroepithelial Cell Transforming Gene 1(NET1)ELISA Kit
phospho-LLGL1 + LLGL2(Ser650+Ser654) Antibody Blocking Peptide Neurochondrin(NCDN)ELISA Kit
LIN7A Antibody Blocking Peptide Neuroligin 3(NLGN3)ELISA Kit
NSMCE3 Antibody Blocking Peptide Neuroligin 2(NLGN2)ELISA Kit
Recombinant human NGF-β protein, C-His Neuroligin 1(NLGN1)ELISA Kit
Phospho-YB1 (Ser102) Antibody Blocking Peptide Neurogranin(NRGN)ELISA Kit
PROC light chain Antibody Blocking Peptide Neuromedin U(NMU)ELISA Kit
PHOX2B Antibody Blocking Peptide Neuromedin S(NMS)ELISA Kit
SH3RF3 Antibody Blocking Peptide Neuromedin N(NMN)ELISA Kit
ZMYM2/ZNF198 Antibody Blocking Peptide Neuromedin B(NMB)ELISA Kit
CCNL1 Antibody Blocking Peptide Gliomedin(GLDN)ELISA Kit
BCAR1 Antibody Blocking Peptide Neurotensin Receptor 2(NTSR2)ELISA Kit
PAFAH1B2 Antibody Blocking Peptide Neurokinin A(NKA)ELISA Kit
标准品的分类:
青阳参苷元B106758-54-71.鉴别用对照品:用于药品鉴别项下的红外、薄层色谱等鉴别;
2.检测用对照品:用于药品检查项下有关物质、溶出度、含量均匀度的检测,一般对照品纯度不低于98.5%
3.含量测定用对照品:用于含量检测,纯度要求高,99%以上。
4.熔点标准品:化学性质稳定,熔点固定、熔程短的一类标准物质,用于熔点温度计的校正,如:偶氮苯(mp:69℃)、磺胺(mp:166℃)、糖精( mp:229℃ )、酚酞( mp:263℃ )
5.溶出度校正片:为特殊制备的某种药片,通常为水杨酸校正片,用于溶出度仪的校正。
| 产品名称 | 英文名称 | 规格 | 货号 |
| 青阳参苷元B106758-54-7 | Qingyangshengenin B | 20 mg/支 | LZ-BP2883 |
商品介绍:
产品名称:青阳参苷元B
中文别名: 青阳参甙元B
英文名: Qingyangshengenin B
英文别名: 补充中
CAS登录号: 106758-54-7
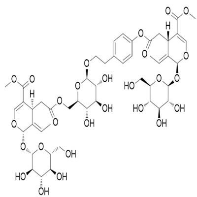
分子式:C49H78O16
分子量: 923.14
规格: 20 mg/支
分子结构:
外观:白色粉末
纯度: ≥ 96%
用途:用于含量测定/鉴定/药理实验等。
提取来源: 萝藦科植物白首乌(Cynanchum bungeiHemsl)
溶解性: 可溶于吡啶、DMSO等有机溶剂。
熔点: 补充中
旋光度: 补充中
鉴别方法: NMR; MS
推荐测定方法: 补充中
中国药典测定方法: 无
药理药效: 具有一定的养血固本作用。
贮存条件: 4℃冷藏、密封、避光
有效期: 2年
供货能力: 大量现货
标准品的选择原则:
1.考虑标准品的稳定性
如:阿莫西林的对照品选阿莫西林三水合物(其稳定性优于阿莫西林及其一水合物)。
2.考虑盐基、酸根的不同
如:某些药物杂质对照品,有些做成盐酸盐,有些为游离碱,在选择和使用过程也要注意哪个适合自己。若用于测含量要考虑换算因子。
3.用作红外鉴别的对照品要考虑晶型的一致。(晶型不一致、红外很有可能不一致)
4.官方对照品往往用于定位或含量检测,往往不建议用作晶型鉴定、或红外标准图谱(官方对照品的制备工艺很大程度与生产工艺不一致,有可能是HPLC制备纯化得到的,晶型无法保证一致性,有少数产品官方也会提供产品对照光谱,国内也有红外光谱集)
TNFSF11 Antibody Blocking Peptide Neuropeptide B(NPB)ELISA Kit
C1orf226 Antibody Blocking Peptide Ninjurin 2(NINJ2)ELISA Kit
NLRP8 Antibody Blocking Peptide Ninjurin 1(NINJ1)ELISA Kit
PTEN Antibody Blocking Peptide Neuroplastin(NPTN)ELISA Kit
GAK protein Antibody Blocking Peptide Neurofilament 3(NEF3)ELISA Kit
TNFRSF9 Antibody Blocking Peptide Neurofascin(NFASC)ELISA Kit
Nanog Antibody Blocking Peptide Neuroepithelial Cell Transforming Gene 1(NET1)ELISA Kit
phospho-LLGL1 + LLGL2(Ser650+Ser654) Antibody Blocking Peptide Neurochondrin(NCDN)ELISA Kit
LIN7A Antibody Blocking Peptide Neuroligin 3(NLGN3)ELISA Kit
NSMCE3 Antibody Blocking Peptide Neuroligin 2(NLGN2)ELISA Kit
Recombinant human NGF-β protein, C-His Neuroligin 1(NLGN1)ELISA Kit
Phospho-YB1 (Ser102) Antibody Blocking Peptide Neurogranin(NRGN)ELISA Kit
PROC light chain Antibody Blocking Peptide Neuromedin U(NMU)ELISA Kit
PHOX2B Antibody Blocking Peptide Neuromedin S(NMS)ELISA Kit
SH3RF3 Antibody Blocking Peptide Neuromedin N(NMN)ELISA Kit
ZMYM2/ZNF198 Antibody Blocking Peptide Neuromedin B(NMB)ELISA Kit
CCNL1 Antibody Blocking Peptide Gliomedin(GLDN)ELISA Kit
BCAR1 Antibody Blocking Peptide Neurotensin Receptor 2(NTSR2)ELISA Kit
PAFAH1B2 Antibody Blocking Peptide Neurokinin A(NKA)ELISA Kit
标准品的分类:
青阳参苷元B106758-54-71.鉴别用对照品:用于药品鉴别项下的红外、薄层色谱等鉴别;
2.检测用对照品:用于药品检查项下有关物质、溶出度、含量均匀度的检测,一般对照品纯度不低于98.5%
3.含量测定用对照品:用于含量检测,纯度要求高,99%以上。
4.熔点标准品:化学性质稳定,熔点固定、熔程短的一类标准物质,用于熔点温度计的校正,如:偶氮苯(mp:69℃)、磺胺(mp:166℃)、糖精( mp:229℃ )、酚酞( mp:263℃ )
5.溶出度校正片:为特殊制备的某种药片,通常为水杨酸校正片,用于溶出度仪的校正。
风险提示:丁香通仅作为第三方平台,为商家信息发布提供平台空间。用户咨询产品时请注意保护个人信息及财产安全,合理判断,谨慎选购商品,商家和用户对交易行为负责。对于医疗器械类产品,请先查证核实企业经营资质和医疗器械产品注册证情况。
文献和实验相关实验
等。测定过的样品大多数为尿样[8 ,22 ,44 ―51 ] ,也有少量血样[8 , 50 ,52 ,53 ] 、植物样[54 ] 、动物组织样[55 ,56 ] 、水果样[57 ] 、食品样[58 ,59 ] 和药品样[60 ―62 ] 等。 例如文献[22 ,44 ,45 ]涉及的均是尿样中苯[ 并]二氮类药物的固相微萃取及测定。Mullett 和Pawl-iszyn 等[22 ]最近研制了新颖的具有生物相容性的限进介质填料涂层固相微萃取纤维。他们将具有生物相容性的限进介质填料烷基二醇硅
技术资料暂无技术资料 索取技术资料
青阳参苷元B106758-54-7
¥500 - 3800









