万千商家帮你免费找货
0 人在求购买到急需产品
- 详细信息
- 文献和实验
- 技术资料
- 库存:
34
- 英文名:
Sarracenin
- CAS号:
59653-37-1
- 保质期:
2年
- 供应商:
上海联祖
- 保存条件:
4℃冷藏、密封、避光
- 规格:
20mg/支
绝对定量是指在实时荧光定量 PCR 实验中,对已知量的样本进行连续稀释后扩增,生成标准曲线。然后通过与此曲线比较,定量未知样本,绝对定量可测定靶点的实际拷贝数。
包括以下三个步骤:
(1) 将标准品稀释成不同浓度,作为模板进行扩增;
(2) 以标准品拷贝数的对数值为横坐标,以测得的Ct值为纵坐标绘制标准曲线;
(3) 根据未知样品的Ct值,即可在标准曲线中获得样品的拷贝数。
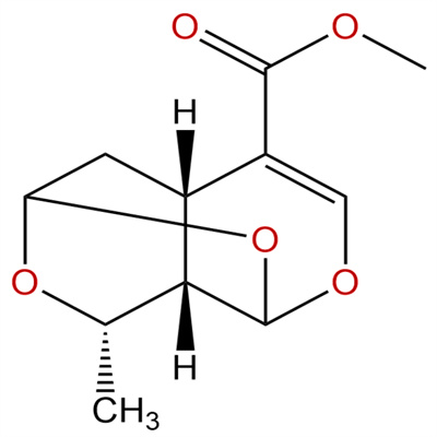
脱水莫诺苷元59653-37-1
| 产品中文名称 | 脱水莫诺苷元 | 英文名 | Sarracenin |
| CAS登录号 | 59653-37-1 | 货号 | LZ-BP3090 |
| 分子式 | C11H14O5 | 纯度 | HPLC≥98% |
| 分子量 | 226.228 | 分析方法 | HPLC-DAD or/and HPLC-ELSD |
| 鉴定方法 | Mass, NMR | 规格 | 20mg/支 |
外观:粉末
纯度:HPLC≥98%
用途:用于含量测定/鉴定/药理实验等。
分析方法: HPLC-DAD or/and HPLC-ELSD
鉴定方法: 质谱(Mass), 核磁(NMR)
贮存条件:4℃冷藏、密封、避光
有效期:2年
供货能力:大量现货
DNA标准品-
纯化的PCR扩增片段或含有目的基因的克隆质粒。
优点:易制备,储存稳定;
缺点:缺少逆转录反应过程。
-RNA标准品-
目的基因的体外转录RNA。
优点:结合逆转录反应过程;
缺点:制备时间长,不稳定。
标准溶液配制常见问题
1. 标准品的取用一般有称量法和容量法,在称量的时候有什么注意事项呢?
根据需要称量的重量和允许误差选择合适的天平。如称量少于10mg的产品,建议使用十万分之一的分析天平。在购买产品时也要注意产品的重量能否满足实验需求。以下是一些建议:
a.称量前:建议将产品直立放置一段时间(放至室温),使产品全部集中到底部,便于取用。尤其是黏稠状物质,可以倾斜至与竖直方向呈45度,使产品集中在瓶底边缘。
b.粉末或晶体:建议采用增量法称量,准备合适的干燥容器,天平归零后取产品放至容器内,得出容器中用于配制标准溶液的物质重量。
脱水莫诺苷元59653-37-1c.粘稠状或液体:建议采用增量法称量,先称量原产品连瓶一起的重量,再用适当器具移取所需标准品至容器中,称量移取后的产品连瓶重量,其差值为实际用于配制标准溶液的重量。
d.如果瓶盖上粘有物质,可以在减量法称量时连瓶盖一起称量,移取产品时注意使用干燥的器具
CRYAB Antibody Blocking Peptide Trichinella antibody ELISA Kit
CST6 Antibody Blocking Peptide Bromodeoxyuridine,BrdU ELISA Kit
KCNS1 Antibody Blocking Peptide Androstenedione,ASD ELISA Kit
STK4 Antibody Blocking Peptide Androstenediol ELISA Kit
RRN3 Antibody Blocking Peptide androgen receptor,AR ELISA Kit
NDUFB1 Antibody Blocking Peptide Androgen Binding Protein,ABP ELISA Kit
TRIM50C Antibody Blocking Peptide thymus-dependent antigen,TD-Ag ELISA Kit
MNS1 Antibody Blocking Peptide Thymopentin,TP-5 ELISA Kit
SIDT2 Antibody Blocking Peptide Thymosin β4 ELISA Kit
phospho-TSC1 (Ser505) Antibody Blocking Peptide Thymosin α1 ELISA Kit
Rex1/Zinc finger protein 754 Antibody Blocking Peptide Thymosin ELISA Kit
Gentamicin/BSA thymidinephosphorylase,TP ELISA Kit
HSD17B7 Antibody Blocking Peptide thymic stromal lymphopoietin,TSLP ELISA Kit
phospho-ESPL1 (Ser1073) Antibody Blocking Peptide thymus independent antigen,TI-Ag ELISA Kit
Tex19A Antibody Blocking Peptide thymus-leukemia antigen,TLa ELISA Kit
HDAC1 Antibody Blocking Peptide sex hormone-binding globulin,SHBG ELISA Kit
GPR26 Antibody Blocking Peptide Sex-determining region Y protein,SRY ELISA kit
C1orf94 Antibody Blocking Peptide signal recognization particle antibody,SRP ELISA Kit
ZNF81 Antibody Blocking Peptide STAT6 ELISA Kit
PLEKHH3 Antibody Blocking Peptide STAT5 ELISA Kit
风险提示:丁香通仅作为第三方平台,为商家信息发布提供平台空间。用户咨询产品时请注意保护个人信息及财产安全,合理判断,谨慎选购商品,商家和用户对交易行为负责。对于医疗器械类产品,请先查证核实企业经营资质和医疗器械产品注册证情况。
文献和实验沉淀中加500 mL的细胞裂解液(10 g/L Np40, 20 mmol/L EDTA, 50 mmol/L Tris-HCl(pH 7.5)]和10 mL蛋白酶K. 在56℃水浴中加热1-2 h, 用苯酚和氯仿提取, 然后用脱水酒精沉淀DNA. 在700 mL/L酒精洗涤一次后加入200 mL TE. 然后再加入RNA酶(最终浓度为50 mL/L), 37℃下过夜. 然后在10 1.3 DNA琼脂糖凝胶电泳检测细胞凋亡 1×106细胞在含50μg/ml顺铂的培养液中培养12
的话会比较好。封片:用甲基绿,几秒即可使核染色,水洗后在37℃下干燥,经二甲苯透明,经屈大麻酚(Marinol)永久封片。有文献建议在透明前使用酒精脱水,但这会使反应产物浸出及扩散。使用1岁小鼠腰椎的EDTA脱钙石蜡切片进行TRAP/ALP双重染色。破骨细胞的TRAP染色呈红色,细胞活性强的细胞(成骨细胞、软骨细胞)ALP染色为褐色。(上面:弱扩大,下面:强扩大)6. 结语TRAP与ALP两种酶在每次固定、脱钙、染色后,只要经过若干改良,就可以使脱钙后的石蜡标本染色。但是,酶扩散现象,特别
%硝酸银0. 5 Ml (含硝酸银0. 085 g) 染色前于暗室内将①. ②. ③三液充分混匀. 再加入④充分混匀. 即配即用。 (2) 恒温避光染色:置于恒温37 ℃摇床中避光染色120 Min。 (3) 充分水洗:流水冲洗至少30 Min。 (4) 梯度脱水:70%. 80%. 95%酒精各脱水3 Min. 100%酒精 ( I ). (II) 各脱水5 Min。 (5) 透明:二甲
技术资料暂无技术资料 索取技术资料










