相关产品推荐更多 >
万千商家帮你免费找货
0 人在求购买到急需产品
- 详细信息
- 技术资料
- 库存:
23
- 英文名:
Sanggenone H
- CAS号:
86450-80-8
- 保质期:
2年
- 供应商:
上海联祖
- 保存条件:
4℃冷藏、密封、避光
- 规格:
5mg/支
商品属性:
商品介绍:
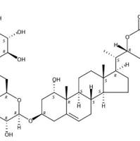
产品名称:桑根酮H
中文别名:
英文名称:Sanggenone H
英文别名: 补充中
CAS NO:86450-80-8
分子式:C20H18O6
分子量:354.358
规格:5mg/支
分子结构:
外观:粉末
纯度:HPLC≥98%
用途:用于含量测定/鉴定/药理实验等。
分析方法: HPLC-DAD or/and HPLC-ELSD
鉴定方法: 质谱(Mass), 核磁(NMR)
贮存条件:4℃冷藏、密封、避光
有效期:2年
供货能力:大量现货
标准品的选择原则:
1.考虑标准品的稳定性
如:阿莫西林的对照品选阿莫西林三水合物(其稳定性优于阿莫西林及其一水合物)。
2.考虑盐基、酸根的不同
如:某些药物杂质对照品,有些做成盐酸盐,有些为游离碱,在选择和使用过程也要注意哪个适合自己。若用于测含量要考虑换算因子。
3.用作红外鉴别的对照品要考虑晶型的一致。(晶型不一致、红外很有可能不一致)
4.官方对照品往往用于定位或含量检测,往往不建议用作晶型鉴定、或红外标准图谱(官方对照品的制备工艺很大程度与生产工艺不一致,有可能是HPLC制备纯化得到的,晶型无法保证一致性,有少数产品官方也会提供产品对照光谱,国内也有红外光谱集)
公司正在出售的产品:
MEIG1 Antibody Blocking Peptide Lebtospira ELISA Kit
GPX2 Antibody Blocking Peptide MCP-4/CCL13 ELISA Kit
KLK6 Antibody Blocking Peptide IL1Ra ELISA Kit
glutathione reductase Antibody Blocking Peptide IL-6 ELISA Kit
FCAR Antibody Blocking Peptide LTB4 ELISA Kit
DMTF1 Antibody Blocking Peptide HGF ELISA Kit
Phospho-MYPT1 (Ser507) Antibody Blocking Peptide IL-3 ELISA Kit
KLRD1 Antibody Blocking Peptide TIMP-1 ELISA Kit
AHNAK2 Antibody Blocking Peptide ET-1 ELISA Kit
ARNT2 Antibody Blocking Peptide CH50 ELISA Kit
COMMD1 Antibody Blocking Peptide IgG ELISA Kit
SPTBN2 + SPTBN1 Antibody Blocking Peptide IL-4 ELISA Kit
SLC10A5 Antibody Blocking Peptide Tissue factor,IF ELISA Kit
Hpt/HP Antibody Blocking Peptide Tissue-type Plasiminogen Actilyse,t-PA ELISA Kit
MYH11 Antibody Blocking Peptide major histocompatibility complex class I chain-related gene A,MICA ELISA Kit
HAT4/FLJ14154 Antibody Blocking Peptide Histocompatibility 2-K1-K region,H2-K1 ELISA Kit
DRAP1 Antibody Blocking Peptide tissue polypeptide specific antigen,TPS ELISA Kit
RTL4 Antibody Blocking Peptide Tissue Polypeptide Antigen,TPA ELISA Kit
标准品的分类:
桑根酮H86450-80-81.鉴别用对照品:用于药品鉴别项下的红外、薄层色谱等鉴别;
2.检测用对照品:用于药品检查项下有关物质、溶出度、含量均匀度的检测,一般对照品纯度不低于98.5%
3.含量测定用对照品:用于含量检测,纯度要求高,99%以上。
4.熔点标准品:化学性质稳定,熔点固定、熔程短的一类标准物质,用于熔点温度计的校正,如:偶氮苯(mp:69℃)、磺胺(mp:166℃)、糖精( mp:229℃ )、酚酞( mp:263℃ )
5.溶出度校正片:为特殊制备的某种药片,通常为水杨酸校正片,用于溶出度仪的校正。
| 产品名称 | 英文名称 | 规格 | 货号 |
| 桑根酮H86450-80-8 | Sanggenone H | 5mg/支 | LZ-BP3114 |
商品介绍:
产品名称:桑根酮H
中文别名:
英文名称:Sanggenone H
英文别名: 补充中
CAS NO:86450-80-8
分子式:C20H18O6
分子量:354.358
规格:5mg/支
分子结构:
外观:粉末
纯度:HPLC≥98%
用途:用于含量测定/鉴定/药理实验等。
分析方法: HPLC-DAD or/and HPLC-ELSD
鉴定方法: 质谱(Mass), 核磁(NMR)
贮存条件:4℃冷藏、密封、避光
有效期:2年
供货能力:大量现货
标准品的选择原则:
1.考虑标准品的稳定性
如:阿莫西林的对照品选阿莫西林三水合物(其稳定性优于阿莫西林及其一水合物)。
2.考虑盐基、酸根的不同
如:某些药物杂质对照品,有些做成盐酸盐,有些为游离碱,在选择和使用过程也要注意哪个适合自己。若用于测含量要考虑换算因子。
3.用作红外鉴别的对照品要考虑晶型的一致。(晶型不一致、红外很有可能不一致)
4.官方对照品往往用于定位或含量检测,往往不建议用作晶型鉴定、或红外标准图谱(官方对照品的制备工艺很大程度与生产工艺不一致,有可能是HPLC制备纯化得到的,晶型无法保证一致性,有少数产品官方也会提供产品对照光谱,国内也有红外光谱集)
MEIG1 Antibody Blocking Peptide Lebtospira ELISA Kit
GPX2 Antibody Blocking Peptide MCP-4/CCL13 ELISA Kit
KLK6 Antibody Blocking Peptide IL1Ra ELISA Kit
glutathione reductase Antibody Blocking Peptide IL-6 ELISA Kit
FCAR Antibody Blocking Peptide LTB4 ELISA Kit
DMTF1 Antibody Blocking Peptide HGF ELISA Kit
Phospho-MYPT1 (Ser507) Antibody Blocking Peptide IL-3 ELISA Kit
KLRD1 Antibody Blocking Peptide TIMP-1 ELISA Kit
AHNAK2 Antibody Blocking Peptide ET-1 ELISA Kit
ARNT2 Antibody Blocking Peptide CH50 ELISA Kit
COMMD1 Antibody Blocking Peptide IgG ELISA Kit
SPTBN2 + SPTBN1 Antibody Blocking Peptide IL-4 ELISA Kit
SLC10A5 Antibody Blocking Peptide Tissue factor,IF ELISA Kit
Hpt/HP Antibody Blocking Peptide Tissue-type Plasiminogen Actilyse,t-PA ELISA Kit
MYH11 Antibody Blocking Peptide major histocompatibility complex class I chain-related gene A,MICA ELISA Kit
HAT4/FLJ14154 Antibody Blocking Peptide Histocompatibility 2-K1-K region,H2-K1 ELISA Kit
DRAP1 Antibody Blocking Peptide tissue polypeptide specific antigen,TPS ELISA Kit
RTL4 Antibody Blocking Peptide Tissue Polypeptide Antigen,TPA ELISA Kit
标准品的分类:
桑根酮H86450-80-81.鉴别用对照品:用于药品鉴别项下的红外、薄层色谱等鉴别;
2.检测用对照品:用于药品检查项下有关物质、溶出度、含量均匀度的检测,一般对照品纯度不低于98.5%
3.含量测定用对照品:用于含量检测,纯度要求高,99%以上。
4.熔点标准品:化学性质稳定,熔点固定、熔程短的一类标准物质,用于熔点温度计的校正,如:偶氮苯(mp:69℃)、磺胺(mp:166℃)、糖精( mp:229℃ )、酚酞( mp:263℃ )
5.溶出度校正片:为特殊制备的某种药片,通常为水杨酸校正片,用于溶出度仪的校正。
风险提示:丁香通仅作为第三方平台,为商家信息发布提供平台空间。用户咨询产品时请注意保护个人信息及财产安全,合理判断,谨慎选购商品,商家和用户对交易行为负责。对于医疗器械类产品,请先查证核实企业经营资质和医疗器械产品注册证情况。
技术资料暂无技术资料 索取技术资料
桑根酮H86450-80-8
¥500 - 3800









