相关产品推荐更多 >
万千商家帮你免费找货
0 人在求购买到急需产品
- 详细信息
- 技术资料
- 库存:
41
- 英文名:
Trigonelline
- CAS号:
535-83-1
- 保质期:
2年
- 供应商:
上海联祖
- 保存条件:
4℃冷藏、密封、避光
- 规格:
20mg/支
绝对定量的标准品如何制作?
绝对定量是指在实时荧光定量 PCR 实验中,对已知量的样本进行连续稀释后扩增,生成标准曲线。然后通过与此曲线比较,定量未知样本,绝对定量可测定靶点的实际拷贝数。
包括以下三个步骤:
(1) 将标准品稀释成不同浓度,作为模板进行扩增;
(2) 以标准品拷贝数的对数值为横坐标,以测得的Ct值为纵坐标绘制标准曲线;
(3) 根据未知样品的Ct值,即可在标准曲线中获得样品的拷贝数。
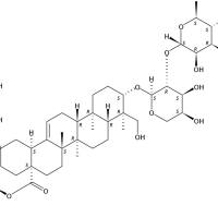
分子结构:
外观:白色固体
提取来源: 豆科植物胡芦巴Trigonellafoenum-graecumL.的种子。
用途:用于含量测定/鉴定/药理实验等。
纯度:HPLC≥98%
分析方法: HPLC-DAD or/and HPLC-ELSD
鉴定方法: 质谱(Mass), 核磁(NMR)
贮存条件:4℃冷藏、密封、避光
有效期:2年
供货能力:大量现货
DNA标准品-
纯化的PCR扩增片段或含有目的基因的克隆质粒。
优点:易制备,储存稳定;
缺点:缺少逆转录反应过程。
-RNA标准品-
目的基因的体外转录RNA。
优点:结合逆转录反应过程;
缺点:制备时间长,不稳定。
标准溶液配制常见问题
1. 标准品的取用一般有称量法和容量法,在称量的时候有什么注意事项呢?
根据需要称量的重量和允许误差选择合适的天平。如称量少于10mg的产品,建议使用十万分之一的分析天平。在购买产品时也要注意产品的重量能否满足实验需求。以下是一些建议:
a.称量前:建议将产品直立放置一段时间(放至室温),使产品全部集中到底部,便于取用。尤其是黏稠状物质,可以倾斜至与竖直方向呈45度,使产品集中在瓶底边缘。
b.粉末或晶体:建议采用增量法称量,准备合适的干燥容器,天平归零后取产品放至容器内,得出容器中用于配制标准溶液的物质重量。
葫芦巴碱535-83-1c.粘稠状或液体:建议采用增量法称量,先称量原产品连瓶一起的重量,再用适当器具移取所需标准品至容器中,称量移取后的产品连瓶重量,其差值为实际用于配制标准溶液的重量。
d.如果瓶盖上粘有物质,可以在减量法称量时连瓶盖一起称量,移取产品时注意使用干燥的器具
MDK Antibody Blocking Peptide ACAC ELISA Kit
C2orf56 Antibody Blocking Peptide EGF ELISA Kit
CEP131 Antibody Blocking Peptide IL-3 ELISA Kit
ADGRD1 Antibody Blocking Peptide IL-1 ELISA Kit
PNLIPRP2 Antibody Blocking Peptide OT/BGP ELISA Kit
NME1 Antibody Blocking Peptide T3 ELISA Kit
PITX-1 Antibody Blocking Peptide IFN-γ ELISA Kit
TIF1 gamma/Trim33 Antibody Blocking Peptide DEV ELISA Kit
NEIL2 Antibody Blocking Peptide TNF-α ELISA Kit
KRV-VP1/2(viral protein 1 /2) Antibody Blocking Peptide FPV ELISA Kit
Claudin 14 Antibody Blocking Peptide TXB2 ELISA Kit
PPIB Antibody Blocking Peptide VA ELISA Kit
DPP8 Antibody Blocking Peptide MHC/BoLA ELISA Kit
FBXO38 Antibody Blocking Peptide sEPCR ELISA Kit
Ubiquityl Histone H2A.X (Lys119) Antibody Blocking Peptide 1,3-βD ELISA Kit
SNW1 Antibody Blocking Peptide GFAP ELISA Kit
CK7 Antibody Blocking Peptide NAG ELISA Kit
PPAT Antibody Blocking Peptide 17-KS ELISA Kit
SLC25A30 Antibody Blocking Peptide LN ELISA Kit
ZA20D3 Antibody Blocking Peptide 5-NT ELISA Kit
绝对定量是指在实时荧光定量 PCR 实验中,对已知量的样本进行连续稀释后扩增,生成标准曲线。然后通过与此曲线比较,定量未知样本,绝对定量可测定靶点的实际拷贝数。
包括以下三个步骤:
(1) 将标准品稀释成不同浓度,作为模板进行扩增;
(2) 以标准品拷贝数的对数值为横坐标,以测得的Ct值为纵坐标绘制标准曲线;
(3) 根据未知样品的Ct值,即可在标准曲线中获得样品的拷贝数。
葫芦巴碱535-83-1
| 产品中文名称 | 葫芦巴碱 | 英文名 | Trigonelline |
| CAS登录号 | 535-83-1 | 货号 | LZ-BP3132 |
| 分子式 | 纯度 | HPLC≥98% | |
| 分子量 | 137.05 | 分析方法 | HPLC-DAD or/and HPLC-ELSD |
| 鉴定方法 | Mass, NMR | 规格 | 20mg/支 |
外观:白色固体
提取来源: 豆科植物胡芦巴Trigonellafoenum-graecumL.的种子。
用途:用于含量测定/鉴定/药理实验等。
纯度:HPLC≥98%
分析方法: HPLC-DAD or/and HPLC-ELSD
鉴定方法: 质谱(Mass), 核磁(NMR)
贮存条件:4℃冷藏、密封、避光
有效期:2年
供货能力:大量现货
DNA标准品-
纯化的PCR扩增片段或含有目的基因的克隆质粒。
优点:易制备,储存稳定;
缺点:缺少逆转录反应过程。
-RNA标准品-
目的基因的体外转录RNA。
优点:结合逆转录反应过程;
缺点:制备时间长,不稳定。
标准溶液配制常见问题
1. 标准品的取用一般有称量法和容量法,在称量的时候有什么注意事项呢?
根据需要称量的重量和允许误差选择合适的天平。如称量少于10mg的产品,建议使用十万分之一的分析天平。在购买产品时也要注意产品的重量能否满足实验需求。以下是一些建议:
a.称量前:建议将产品直立放置一段时间(放至室温),使产品全部集中到底部,便于取用。尤其是黏稠状物质,可以倾斜至与竖直方向呈45度,使产品集中在瓶底边缘。
b.粉末或晶体:建议采用增量法称量,准备合适的干燥容器,天平归零后取产品放至容器内,得出容器中用于配制标准溶液的物质重量。
葫芦巴碱535-83-1c.粘稠状或液体:建议采用增量法称量,先称量原产品连瓶一起的重量,再用适当器具移取所需标准品至容器中,称量移取后的产品连瓶重量,其差值为实际用于配制标准溶液的重量。
d.如果瓶盖上粘有物质,可以在减量法称量时连瓶盖一起称量,移取产品时注意使用干燥的器具
MDK Antibody Blocking Peptide ACAC ELISA Kit
C2orf56 Antibody Blocking Peptide EGF ELISA Kit
CEP131 Antibody Blocking Peptide IL-3 ELISA Kit
ADGRD1 Antibody Blocking Peptide IL-1 ELISA Kit
PNLIPRP2 Antibody Blocking Peptide OT/BGP ELISA Kit
NME1 Antibody Blocking Peptide T3 ELISA Kit
PITX-1 Antibody Blocking Peptide IFN-γ ELISA Kit
TIF1 gamma/Trim33 Antibody Blocking Peptide DEV ELISA Kit
NEIL2 Antibody Blocking Peptide TNF-α ELISA Kit
KRV-VP1/2(viral protein 1 /2) Antibody Blocking Peptide FPV ELISA Kit
Claudin 14 Antibody Blocking Peptide TXB2 ELISA Kit
PPIB Antibody Blocking Peptide VA ELISA Kit
DPP8 Antibody Blocking Peptide MHC/BoLA ELISA Kit
FBXO38 Antibody Blocking Peptide sEPCR ELISA Kit
Ubiquityl Histone H2A.X (Lys119) Antibody Blocking Peptide 1,3-βD ELISA Kit
SNW1 Antibody Blocking Peptide GFAP ELISA Kit
CK7 Antibody Blocking Peptide NAG ELISA Kit
PPAT Antibody Blocking Peptide 17-KS ELISA Kit
SLC25A30 Antibody Blocking Peptide LN ELISA Kit
ZA20D3 Antibody Blocking Peptide 5-NT ELISA Kit
风险提示:丁香通仅作为第三方平台,为商家信息发布提供平台空间。用户咨询产品时请注意保护个人信息及财产安全,合理判断,谨慎选购商品,商家和用户对交易行为负责。对于医疗器械类产品,请先查证核实企业经营资质和医疗器械产品注册证情况。
技术资料暂无技术资料 索取技术资料
葫芦巴碱535-83-1
¥500 - 3800









