相关产品推荐更多 >
万千商家帮你免费找货
0 人在求购买到急需产品
- 详细信息
- 技术资料
- 库存:
36
- 英文名:
Isorhamnetin-3-O-neohespeidoside
- CAS号:
55033-90-4
- 保质期:
2年
- 供应商:
上海联祖
- 保存条件:
4℃冷藏、密封、避光
- 规格:
20mg/支
商品属性:
商品介绍:
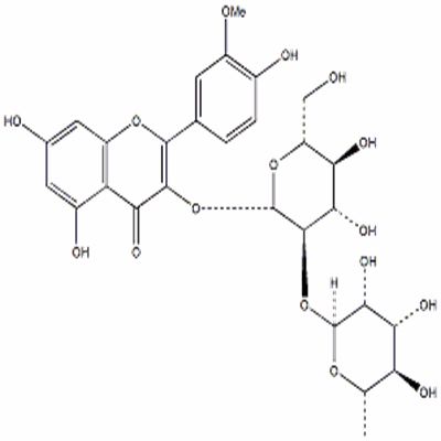
产品名称:异鼠李素-3-O-新橙皮苷
中文别名:
英文名称:Isorhamnetin-3-O-neohespeidoside
英文别名: 补充中
CAS NO:55033-90-4
分子式:C28H32O16
分子量:624.55
规格:20mg/支
分子结构:
外观:粉末
提取来源: 香蒲科植物水烛香蒲的花蒲黄
用途:用于含量测定/鉴定/药理实验等。
纯度:HPLC≥98%
分析方法: HPLC-DAD or/and HPLC-ELSD
鉴定方法: 质谱(Mass), 核磁(NMR)
贮存条件:4℃冷藏、密封、避光
有效期:2年
供货能力:大量现货
标准品的选择原则:
1.考虑标准品的稳定性
如:阿莫西林的对照品选阿莫西林三水合物(其稳定性优于阿莫西林及其一水合物)。
2.考虑盐基、酸根的不同
如:某些药物杂质对照品,有些做成盐酸盐,有些为游离碱,在选择和使用过程也要注意哪个适合自己。若用于测含量要考虑换算因子。
3.用作红外鉴别的对照品要考虑晶型的一致。(晶型不一致、红外很有可能不一致)
4.官方对照品往往用于定位或含量检测,往往不建议用作晶型鉴定、或红外标准图谱(官方对照品的制备工艺很大程度与生产工艺不一致,有可能是HPLC制备纯化得到的,晶型无法保证一致性,有少数产品官方也会提供产品对照光谱,国内也有红外光谱集)
公司正在出售的产品:
NRG1/HRG beta 1 Antibody Blocking Peptide Ang-Ⅰ ELISA Kit
MAGEA5 Antibody Blocking Peptide aGT ELISA Kit
CD274 Antibody Blocking Peptide PTHrP ELISA Kit
ABCC13 Antibody Blocking Peptide ER ELISA Kit
phospho-MAP4(Ser941) Antibody Blocking Peptide Renin ELISA Kit
SLC4A4 Antibody Blocking Peptide 8-iso-PG ELISA Kit
EPG5 Antibody Blocking Peptide LHRH ELISA Kit
OSBPL2 Antibody Blocking Peptide Orexin ELISA Kit
E2F7 Antibody Blocking Peptide u-T3 ELISA Kit
Phospho-Zyxin (Ser142/Ser143) Antibody Blocking Peptide GR-α ELISA Kit
phospho-ESR2 (ser87) Antibody Blocking Peptide GR-β ELISA Kit
SCRN1 Antibody Blocking Peptide 16-α ELISA Kit
ZNF652 Antibody Blocking Peptide U ELISA Kit
NKX1-2 Antibody Blocking Peptide ER ELISA Kit
GPR52 Antibody Blocking Peptide LATS ELISA Kit
C8orf58 Antibody Blocking Peptide 6-keto-PGF1a ELISA Kit
标准品的分类:
异鼠李素-3-O-新橙皮苷55033-90-41.鉴别用对照品:用于药品鉴别项下的红外、薄层色谱等鉴别;
2.检测用对照品:用于药品检查项下有关物质、溶出度、含量均匀度的检测,一般对照品纯度不低于98.5%
3.含量测定用对照品:用于含量检测,纯度要求高,99%以上。
4.熔点标准品:化学性质稳定,熔点固定、熔程短的一类标准物质,用于熔点温度计的校正,如:偶氮苯(mp:69℃)、磺胺(mp:166℃)、糖精( mp:229℃ )、酚酞( mp:263℃ )
5.溶出度校正片:为特殊制备的某种药片,通常为水杨酸校正片,用于溶出度仪的校正。
| 产品名称 | 英文名称 | 规格 | 货号 |
| 异鼠李素-3-O-新橙皮苷55033-90-4 | Isorhamnetin-3-O-neohespeidoside | 20mg/支 | LZ-BP3172 |
商品介绍:
产品名称:异鼠李素-3-O-新橙皮苷
中文别名:
英文名称:Isorhamnetin-3-O-neohespeidoside
英文别名: 补充中
CAS NO:55033-90-4
分子式:C28H32O16
分子量:624.55
规格:20mg/支
分子结构:
外观:粉末
提取来源: 香蒲科植物水烛香蒲的花蒲黄
用途:用于含量测定/鉴定/药理实验等。
纯度:HPLC≥98%
分析方法: HPLC-DAD or/and HPLC-ELSD
鉴定方法: 质谱(Mass), 核磁(NMR)
贮存条件:4℃冷藏、密封、避光
有效期:2年
供货能力:大量现货
标准品的选择原则:
1.考虑标准品的稳定性
如:阿莫西林的对照品选阿莫西林三水合物(其稳定性优于阿莫西林及其一水合物)。
2.考虑盐基、酸根的不同
如:某些药物杂质对照品,有些做成盐酸盐,有些为游离碱,在选择和使用过程也要注意哪个适合自己。若用于测含量要考虑换算因子。
3.用作红外鉴别的对照品要考虑晶型的一致。(晶型不一致、红外很有可能不一致)
4.官方对照品往往用于定位或含量检测,往往不建议用作晶型鉴定、或红外标准图谱(官方对照品的制备工艺很大程度与生产工艺不一致,有可能是HPLC制备纯化得到的,晶型无法保证一致性,有少数产品官方也会提供产品对照光谱,国内也有红外光谱集)
NRG1/HRG beta 1 Antibody Blocking Peptide Ang-Ⅰ ELISA Kit
MAGEA5 Antibody Blocking Peptide aGT ELISA Kit
CD274 Antibody Blocking Peptide PTHrP ELISA Kit
ABCC13 Antibody Blocking Peptide ER ELISA Kit
phospho-MAP4(Ser941) Antibody Blocking Peptide Renin ELISA Kit
SLC4A4 Antibody Blocking Peptide 8-iso-PG ELISA Kit
EPG5 Antibody Blocking Peptide LHRH ELISA Kit
OSBPL2 Antibody Blocking Peptide Orexin ELISA Kit
E2F7 Antibody Blocking Peptide u-T3 ELISA Kit
Phospho-Zyxin (Ser142/Ser143) Antibody Blocking Peptide GR-α ELISA Kit
phospho-ESR2 (ser87) Antibody Blocking Peptide GR-β ELISA Kit
SCRN1 Antibody Blocking Peptide 16-α ELISA Kit
ZNF652 Antibody Blocking Peptide U ELISA Kit
NKX1-2 Antibody Blocking Peptide ER ELISA Kit
GPR52 Antibody Blocking Peptide LATS ELISA Kit
C8orf58 Antibody Blocking Peptide 6-keto-PGF1a ELISA Kit
标准品的分类:
异鼠李素-3-O-新橙皮苷55033-90-41.鉴别用对照品:用于药品鉴别项下的红外、薄层色谱等鉴别;
2.检测用对照品:用于药品检查项下有关物质、溶出度、含量均匀度的检测,一般对照品纯度不低于98.5%
3.含量测定用对照品:用于含量检测,纯度要求高,99%以上。
4.熔点标准品:化学性质稳定,熔点固定、熔程短的一类标准物质,用于熔点温度计的校正,如:偶氮苯(mp:69℃)、磺胺(mp:166℃)、糖精( mp:229℃ )、酚酞( mp:263℃ )
5.溶出度校正片:为特殊制备的某种药片,通常为水杨酸校正片,用于溶出度仪的校正。
风险提示:丁香通仅作为第三方平台,为商家信息发布提供平台空间。用户咨询产品时请注意保护个人信息及财产安全,合理判断,谨慎选购商品,商家和用户对交易行为负责。对于医疗器械类产品,请先查证核实企业经营资质和医疗器械产品注册证情况。
技术资料暂无技术资料 索取技术资料
异鼠李素-3-O-新橙皮苷55033-90-4
¥500 - 3800









