相关产品推荐更多 >
万千商家帮你免费找货
0 人在求购买到急需产品
- 详细信息
- 文献和实验
- 技术资料
- 库存:
34
- 英文名:
Notoginsenoside Ft1
- CAS号:
155683-00-4
- 保质期:
2年
- 供应商:
上海联祖
- 保存条件:
4℃冷藏、密封、避光
- 规格:
20mg/支
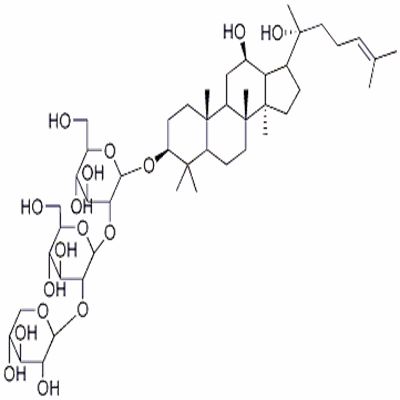
三七皂苷Ft1155683-00-4
| 产品中文名称 | 三七皂苷Ft1 | 英文名 | Notoginsenoside Ft1 |
| CAS登录号 | 155683-00-4 | 货号 | LZ-BP3230 |
| 分子式 | C47H80O17 | 纯度 | HPLC≥98% |
| 分子量 | 917.13 | 分析方法 | HPLC-DAD or/and HPLC-ELSD |
| 鉴定方法 | Mass, NMR | 规格 | 20 mg/支 |
外观:白色粉末
提取来源: 五加科科植物三七Panax Notoginseng的干燥根
用途:用于含量测定/鉴定/药理实验等。
纯度:HPLC≥98%
分析方法: HPLC-DAD or/and HPLC-ELSD
鉴定方法: 质谱(Mass), 核磁(NMR)
贮存条件:4℃冷藏、密封、避光
有效期:2年
供货能力:大量现货
绝对定量的标准品如何制作?
绝对定量是指在实时荧光定量 PCR 实验中,对已知量的样本进行连续稀释后扩增,生成标准曲线。然后通过与此曲线比较,定量未知样本,绝对定量可测定靶点的实际拷贝数。
包括以下三个步骤:
(1) 将标准品稀释成不同浓度,作为模板进行扩增;
(2) 以标准品拷贝数的对数值为横坐标,以测得的Ct值为纵坐标绘制标准曲线;
(3) 根据未知样品的Ct值,即可在标准曲线中获得样品的拷贝数。
c-Maf Antibody Blocking Peptide OFQ/N ELISA Kit
NEMF Antibody Blocking Peptide Apo-E ELISA Kit
BLM Antibody Blocking Peptide CAM ELISA Kit
KYNU Antibody Blocking Peptide PPAR-α ELISA Kit
IQCE Antibody Blocking Peptide α1-MG ELISA Kit
phospho-VEGF receptor 2 (Tyr1059) Antibody Blocking Peptide GHRP-Ghrelin ELISA Kit
FZD9 Antibody Blocking Peptide HSF1 ELISA Kit
PCK1 Antibody Blocking Peptide Lebtospira ELISA Kit
ZDHHC11/ZNF399 Antibody Blocking Peptide TLR-9/CD289 ELISA Kit
QPCTL Antibody Blocking Peptide α-glucosidase ELISA Kit
PTOV1 Antibody Blocking Peptide GAL ELISA Kit
RASGEF1B Antibody Blocking Peptide APC ELISA Kit
phospho-STAT1 (pTyr701) Antibody Blocking Peptide HL ELISA Kit
NBR1 Antibody Blocking Peptide ADM ELISA Kit
AQP5 Antibody Blocking Peptide M-AChR ELISA Kit
SMARCC1 Antibody Blocking Peptide CAMK ELISA Kit
标准溶液配制常见问题
三七皂苷Ft1155683-00-41. 标准品的取用一般有称量法和容量法,在称量的时候有什么注意事项呢?
根据需要称量的重量和允许误差选择合适的天平。如称量少于10mg的产品,建议使用十万分之一的分析天平。在购买产品时也要注意产品的重量能否满足实验需求。以下是一些建议:
a.称量前:建议将产品直立放置一段时间(放至室温),使产品全部集中到底部,便于取用。尤其是黏稠状物质,可以倾斜至与竖直方向呈45度,使产品集中在瓶底边缘。
b.粉末或晶体:建议采用增量法称量,准备合适的干燥容器,天平归零后取产品放至容器内,得出容器中用于配制标准溶液的物质重量。
c.粘稠状或液体:建议采用增量法称量,先称量原产品连瓶一起的重量,再用适当器具移取所需标准品至容器中,称量移取后的产品连瓶重量,其差值为实际用于配制标准溶液的重量。
d.如果瓶盖上粘有物质,可以在减量法称量时连瓶盖一起称量,移取产品时注意使用干燥的器具
风险提示:丁香通仅作为第三方平台,为商家信息发布提供平台空间。用户咨询产品时请注意保护个人信息及财产安全,合理判断,谨慎选购商品,商家和用户对交易行为负责。对于医疗器械类产品,请先查证核实企业经营资质和医疗器械产品注册证情况。
文献和实验-DEC-1997 US 08/988476 PI SMITH MARTIN DAMIEN,LATCHMAN DAVID SEYMAR PC C12N15/09,A61K38/17,A61K39/245,A61K48/00,A61P25/00,C07K14/47, PC C12N7/00, PC C12N15/00,A61K37/12 CC Utilization of transcription factor Brn-3a FH Key Location/Qualifiers FT
空腹为宜 免疫系列: 免疫球蛋白、C3、C4、ASO、RF、CRP 同上 空腹为宜 甲状腺功能检测: T3、T4、TSH、FT3、FT4、r-T3、TG、TM、TRAb
with 4 x 2.0ml (1 vol.)0.3m KCl Buffer C " " " 0.6M " " . " " " 1.0M " " . " " " 1.5M " " . " " " 2.0M " " . Sample loaded at 9:30 - first pars by 10:30,second by 11:30. Washes done by @1:30. Elutions done by @3:30-4:00 Rinsed column
技术资料暂无技术资料 索取技术资料










