相关产品推荐更多 >
万千商家帮你免费找货
0 人在求购买到急需产品
- 详细信息
- 技术资料
- 库存:
28
- 英文名:
Steviol
- CAS号:
471-80-7
- 保质期:
2年
- 供应商:
上海联祖
- 保存条件:
4℃冷藏、密封、避光
- 规格:
20mg/支
商品属性:
| 产品名称 | 英文名称 | 规格 | 货号 |
| 甜菊醇471-80-7 | Steviol | 20mg/支 | LZ-BP3329 |
产品名称:甜菊醇
中文别名:
英文名称:Steviol
英文别名: 补充中
CAS NO:471-80-7
分子式:C20H30O3
分子量:318.455
规格:20mg/支
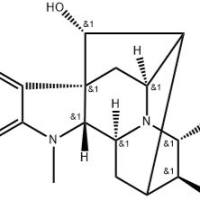
分子结构:
外观:白色粉末
纯度:HPLC≥98%
用途:用于含量测定/鉴定/药理实验等。
分析方法: HPLC-DAD or/and HPLC-ELSD
鉴定方法: 质谱(Mass), 核磁(NMR)
贮存条件:4℃冷藏、密封、避光
有效期:2年
供货能力:大量现货
标准品的分类:
1.鉴别用对照品:用于药品鉴别项下的红外、薄层色谱等鉴别;
2.检测用对照品:用于药品检查项下有关物质、溶出度、含量均匀度的检测,一般对照品纯度不低于98.5%
3.含量测定用对照品:用于含量检测,纯度要求高,99%以上。
4.熔点标准品:化学性质稳定,熔点固定、熔程短的一类标准物质,用于熔点温度计的校正,如:偶氮苯(mp:69℃)、磺胺(mp:166℃)、糖精( mp:229℃ )、酚酞( mp:263℃ )
5.溶出度校正片:为特殊制备的某种药片,通常为水杨酸校正片,用于溶出度仪的校正。
Histone H3 (Tri K27) Antibody Blocking Peptide IgG ELISA Kit
phospho-EphB1 (Tyr317) Antibody Blocking Peptide IGFBP-4 ELISA Kit
CD1a1 Antibody Blocking Peptide IGFBP-3 ELISA Kit
SDHB Antibody Blocking Peptide IGFBP-2 ELISA Kit
HINT3 Antibody Blocking Peptide IGFBP2 ELISA Kit
RECQ1 Antibody Blocking Peptide IGFBP-1 ELISA Kit
RET Antibody Blocking Peptide IGF-Ⅱ ELISA Kit
ZNF711/ZNF5 Antibody Blocking Peptide IGF2BP2 ELISA Kit
SP2 transcription factor Antibody Blocking Peptide IGF-2 ELISA Kit
SNAP91/AP180 Antibody Blocking Peptide IGF-1 ELISA Kit
PP11 Antibody Blocking Peptide IgE ELISA Kit
ZFR Antibody Blocking Peptide IgA ELISA Kit
KDF1 Antibody Blocking Peptide IFN-γ ELISA Kit
C-Mer/MERTK Antibody Blocking Peptide IFNγ ELISA Kit
TRIT1 Antibody Blocking Peptide IFN-β/IFNB ELISA Kit
phospho-EIF4B (Ser406) Antibody Blocking Peptide IFNα-Ab ELISA Kit
RHBDF1 Antibody Blocking Peptide IFN-α/βR ELISA Kit
绝对定量的标准品如何制作?
甜菊醇471-80-7绝对定量是指在实时荧光定量 PCR 实验中,对已知量的样本进行连续稀释后扩增,生成标准曲线。然后通过与此曲线比较,定量未知样本,绝对定量可测定靶点的实际拷贝数。
包括以下三个步骤:
(1) 将标准品稀释成不同浓度,作为模板进行扩增;
(2) 以标准品拷贝数的对数值为横坐标,以测得的Ct值为纵坐标绘制标准曲线;
(3) 根据未知样品的Ct值,即可在标准曲线中获得样品的拷贝数。
风险提示:丁香通仅作为第三方平台,为商家信息发布提供平台空间。用户咨询产品时请注意保护个人信息及财产安全,合理判断,谨慎选购商品,商家和用户对交易行为负责。对于医疗器械类产品,请先查证核实企业经营资质和医疗器械产品注册证情况。
技术资料暂无技术资料 索取技术资料
甜菊醇471-80-7
¥500 - 3800










