相关产品推荐更多 >
万千商家帮你免费找货
0 人在求购买到急需产品
- 详细信息
- 技术资料
- 库存:
999
- 英文名:
Heparin-PEG-Alkyne
- 保质期:
一年
- 供应商:
深圳市魅罗科技有限公司
- 保存条件:
-20°保存
- 规格:
50mg
关键产品信息
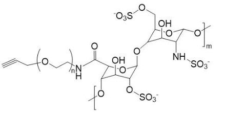
中文名称: 肝素-聚乙二醇-炔基
简称 : Heparin-PEG-Alkyne
品牌: 魅罗科技(MeloPEG)
结构

纯度:95%
PEG分子量: 1K/2K/3.4K/5K/10K
注意事项
保持干燥
存储条件
-20℃以下冰冻、干燥
应用
肝素是一种天然的抗凝血剂,广泛用于防止血液凝固。炔基是一个具有活性的化学官能团,可以进行“点击化学”反应,这是一种高效且特异性强的化学偶联方法。在Heparin-PEG-Alkyne中,炔基的存在允许该材料与其他含有偶氮基(Azide)功能团的分子特异性连接。这种反应通常在温和条件下进行,非常适合生物医药领域。
炔基的特点:
高反应性:碳-碳三键是一个非常活跃的结构,可以与多种试剂发生反应,包括加成反应、聚合反应等。
多样的化学反应性:炔基可以进行氢化、卤化、水合、环加成等多种反应。
点击化学:炔基最重要的应用之一是在点击化学反应中的使用,这是一种快速、高效、具有高选择性的化学偶联技术,通常用于连接两个不同的分子。
在Heparin-PEG-Alkyne中的作用:
在Heparin-PEG-Alkyne复合物中,炔基官能团的主要作用是提供一个反应点,用于通过点击化学将其他分子或官能团与肝素-聚乙二醇复合物连接起来。
这些特性使得炔基成为药物递送系统设计中的关键组分:
偶联其他分子:通过点击化学,炔基可以与含有偶氮基的分子进行特异性连接,这种连接反应在室温下进行,且通常不需要严格的溶剂或环境条件,非常适合敏感的生物分子。
扩展功能性:通过炔基,可以将药物、成像剂、靶向配体或其他治疗分子附着在肝素-聚乙二醇骨架上。这种功能化可以用来设计靶向特定细胞类型或病理状态的药物递送系统。
增加选择性和特异性:炔基的使用使得药物递送系统能够更加选择性地交付其载荷,减少对健康组织的潜在毒性和副作用。
相关目录:
Heparin-PEG-Alkyne 肝素-聚乙二醇-炔基
Heparin-PEG-DBCO 肝素-聚乙二醇-二苯基环辛炔
Heparin-PEG-SH 肝素-聚乙二醇-巯基
Alkyne-PEG-COOH 炔基-聚乙二醇-羧基
Alkyne-PEG-NHS 炔基-聚乙二醇-活性酯
Alkyne-PEG-Biotin 炔基-聚乙二醇-生物素
Alkyne-PEG-Glucose 炔基-聚乙二醇-葡萄糖
风险提示:丁香通仅作为第三方平台,为商家信息发布提供平台空间。用户咨询产品时请注意保护个人信息及财产安全,合理判断,谨慎选购商品,商家和用户对交易行为负责。对于医疗器械类产品,请先查证核实企业经营资质和医疗器械产品注册证情况。
技术资料暂无技术资料 索取技术资料









