相关产品推荐更多 >
万千商家帮你免费找货
0 人在求购买到急需产品
- 详细信息
- 技术资料
- 库存:
999
- 英文名:
Heparin-PEG-SH
- 保质期:
一年
- 供应商:
深圳市魅罗科技有限公司
- 保存条件:
-20°保存
- 规格:
50mg
关键产品信息
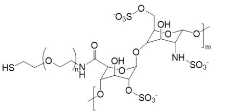
中文名称: 肝素-聚乙二醇-巯基
简称 : Heparin-PEG-SH
品牌: 魅罗科技(MeloPEG)
结构
纯度:95%
PEG分子量: 1K/2K/3.4K/5K/10K
注意事项
保持干燥
存储条件
-20℃以下冰冻、干燥
应用
Heparin-PEG-SH(肝素-聚乙二醇-巯基)具有多种功能,特别是其中巯基(SH)部分,由于其独特的化学性质,使得这种材料在不同领域中具有广泛的应用潜力。巯基的高反应性特别适用于化学修饰和功能化,从而拓展了其在医疗和生物技术领域的用途。
1. 药物递送
交联剂和功能化载体:
巯基可以作为交联剂,通过与其他含有活性官能团(如马来酰亚胺)的化合物反应,形成稳定的共价键。这一特性可以用于制备稳定的药物-载体复合物,提高药物的稳定性和靶向性。Heparin-PEG-SH可以通过巯基功能化,将特定的治疗分子或靶向配体固定在载体上,以提高治疗的精确性和效率。
2. 生物传感器
传感器功能化:
巯基可以用来固定化传感器表面上的探针分子(如抗体或核酸)。这种功能化的传感器可以用于检测各种生物标志物,增强传感器的灵敏度和特异性。在医疗诊断和环境监测等领域,这种传感器特别有用。
3. 组织工程和再生医学
生物兼容性支架:
Heparin-PEG-SH可以用作组织工程中的支架材料,其中巯基允许进一步的化学修饰,以增加支架与细胞的相互作用。通过固定生长因子或其他细胞信号分子,可以促进细胞生长和组织再生,特别是在修复受损组织(如心血管组织)时。
4. 医疗器械涂层
抗菌和生物兼容涂层:
在医疗器械(如导管和植入物)上使用Heparin-PEG-SH作为涂层,可以利用巯基将抗生素或抗炎药物固定在器械表面,以减少感染和提高生物兼容性。肝素的抗凝血性质也有助于防止血液凝固,减少血栓形成的风险。
5. 诊断和治疗一体化系统
功能化诊疗平台:
利用巯基,Heparin-PEG-SH可以用于开发集诊断和治疗于一体的平台。例如,可以设计载体同时携带诊断试剂和治疗药物,使得可以在一个步骤中实现疾病的诊断和治疗,提高治疗的时效性和效率。
相关目录:
Heparin-PEG-SH 肝素-聚乙二醇-巯基
Heparin-PEG-NH2 肝素-聚乙二醇-氨基
Heparin-PEG-Alkyne 肝素-聚乙二醇-炔基
Heparin-PEG-PCL 肝素-聚乙二醇-聚己内酯
Heparin-PEG-PLGA 肝素-聚乙二醇-聚乳酸-羟基乙酸共聚物
Heparin-PEG-PLA 肝素-聚乙二醇-聚乳酸
风险提示:丁香通仅作为第三方平台,为商家信息发布提供平台空间。用户咨询产品时请注意保护个人信息及财产安全,合理判断,谨慎选购商品,商家和用户对交易行为负责。对于医疗器械类产品,请先查证核实企业经营资质和医疗器械产品注册证情况。
技术资料暂无技术资料 索取技术资料









