相关产品推荐更多 >
万千商家帮你免费找货
0 人在求购买到急需产品
- 详细信息
- 文献和实验
- 技术资料
- 保存条件:
-20°C储存
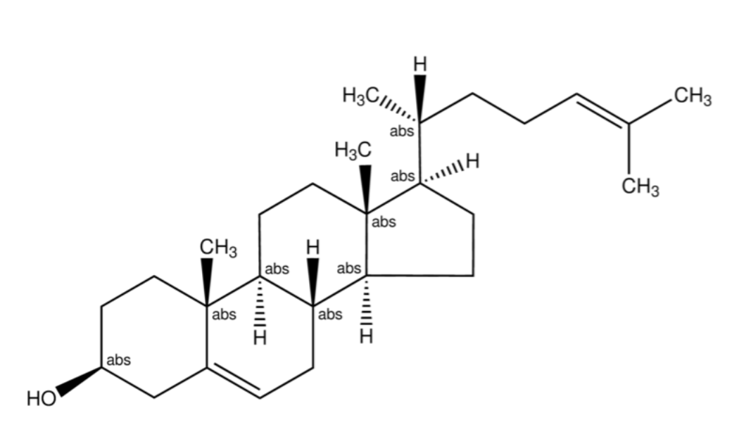
- 英文名:
3β-hydroxy-5,24-cholestadiene
- 库存:
现货
- 供应商:
上海阿拉丁生化科技股份有限公司
- CAS号:
313-04-2
- 规格:
H400267-5mg/H400267-1mg
| 规格: | H400267-5mg | 产品价格: | ¥1647.9 |
|---|---|---|---|
| 规格: | H400267-1mg | 产品价格: | ¥484.9 |
英文名:3β-hydroxy-5,24-cholestadiene
纯度或规格:Moligand™, ≥98%
SPU:H400267
CAS:313-04-2
存储温度:-20°C储存
运输条件:超低温运输
查看阿拉丁官网此产品相关对应页面:
风险提示:丁香通仅作为第三方平台,为商家信息发布提供平台空间。用户咨询产品时请注意保护个人信息及财产安全,合理判断,谨慎选购商品,商家和用户对交易行为负责。对于医疗器械类产品,请先查证核实企业经营资质和医疗器械产品注册证情况。
文献和实验酸CAS:501-98-43.2 分子式:C9H8O33.3 结构式:3.4 相对分子量:164.20(按1987国际原子量)4、要求4.1 原材料要求4.1.1 原料对羟基苯甲醛为工业级,含量≥98%。4.1.2 丙二酸为工业级,含量≥98% ,4.1.3 甲醇 为工业级,含量≥95%。4.1.4 盐酸为工业级,含量 31%左右。4.1.5 自来水应符合城市供水要求。4.2 感官性状 4.2.1 本品为白色至淡黄色结晶粉末,具有本品特有的香气。化学性质稳定。 4.2.2 本品不溶
等。 (2)无此数码谱:可能有以下原因:①此生化谱太不典型。②不能接受,鉴定值低(%id<80.0)。③可疑。需进一步确认是否纯培养,重新鉴定,可与供应商技术服务部联系。 3. 结果解释 (1)如果排序第一的细菌%id≥80.0,则可将未知菌鉴定在此条目中,并按%id值的大小对鉴定的可信度作出评价。%id≥99.9和T≥0.75为最佳的鉴定;%id 99.0~98.9之间,T≥0.5为很好的鉴定;%id 90
of Uracil and Cytosine Pyrimidine Bases Materials Sodium hydroxide (NaOH), ≥98%
技术资料暂无技术资料 索取技术资料









,327178-96-1,≥99%,阿拉丁](https://img1.dxycdn.com/p/s14/2025/1231/317/0291449972457536002.png!wh200)

