相关产品推荐更多 >
万千商家帮你免费找货
0 人在求购买到急需产品
- 详细信息
- 文献和实验
- 技术资料
- 保存条件:
2-8°C储存;干燥
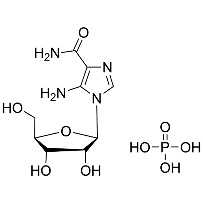
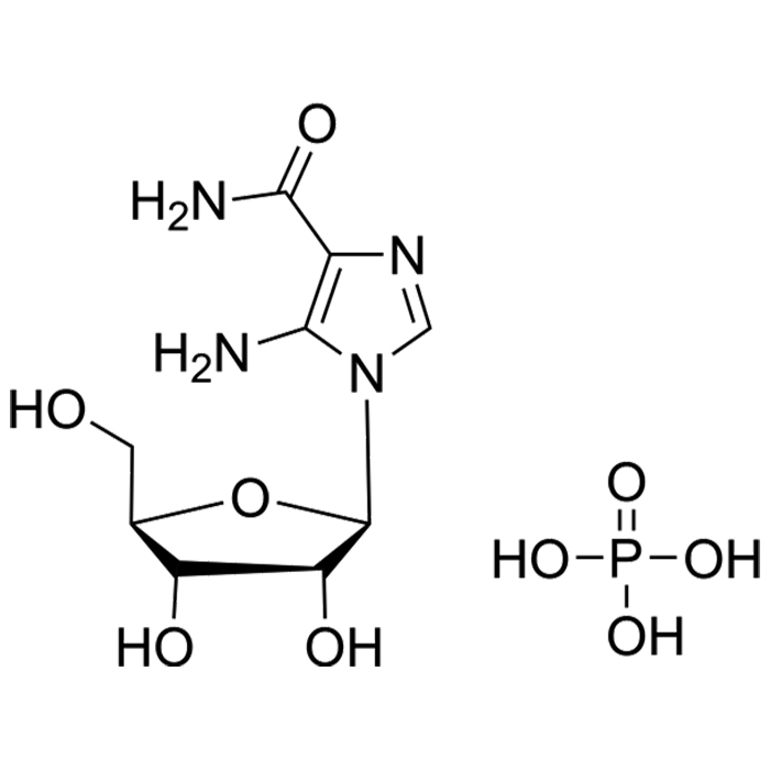
- 英文名:
AICAR phosphate
- 库存:
期货
- 供应商:
上海阿拉丁生化科技股份有限公司
- CAS号:
681006-28-0
- 规格:
A649764-250mg/A649764-50mg
| 规格: | A649764-250mg | 产品价格: | ¥1619.9 |
|---|---|---|---|
| 规格: | A649764-50mg | 产品价格: | ¥520.9 |
英文名:AICAR phosphate
纯度或规格:Moligand™, ≥98%
SPU:A649764
CAS:681006-28-0
存储温度:-20°C储存;干燥
运输条件:超低温运输
查看阿拉丁官网此产品相关对应页面:
风险提示:丁香通仅作为第三方平台,为商家信息发布提供平台空间。用户咨询产品时请注意保护个人信息及财产安全,合理判断,谨慎选购商品,商家和用户对交易行为负责。对于医疗器械类产品,请先查证核实企业经营资质和医疗器械产品注册证情况。
文献和实验hmucn 请问AICAR用什么溶解还能保持其活性,我试用水溶可是不能溶解,用DMSO能够溶解可是又影响其活性。另外,请教hypoxanthine是不是也只能用DMSO溶解,可是再用xanthine oxidase反应预使其产生超氧,可是有时就没有效果,请问有谁能够帮助提供二者反映的最佳条件吗?谢谢了!!! doctormy AICAR应该现用现配,其在水中的溶解度大约为7 mg/mL。你可能配的浓度太大了。
- 120%,且标准曲线 R2≥ 0.99,引物的扩增效率才是合格的,定量出来的 CT值才可以用来计算。且扩增效率越接近 100%,引物的扩增性能越优。 1、若扩增效率不满足 90 - 120%,那 CT值偏大是因为扩增效率不达标导致的,需要重新设计引物。 2、若引物的扩增效率满足 90 - 120% 前提下,CT 值仍然很大,则是基因本身表达量低造成的 CT 值偏大,可以提高模板的添加量,但最根本的方法是改为探针法进行定量。探针法的灵敏度是高于染料法的。
Solid‐Phase Oligonucleotide Labeling with DOTA
Diethyl ether, ≥99.7% pure (Merck) Aqueous ammonia, p.a. 28% to 30% (Merck) Sodium sulfate (Na
技术资料暂无技术资料 索取技术资料











