相关产品推荐更多 >
万千商家帮你免费找货
0 人在求购买到急需产品
- 详细信息
- 文献和实验
- 技术资料
- 保存条件:
2-8°C储存;干燥
- 英文名:
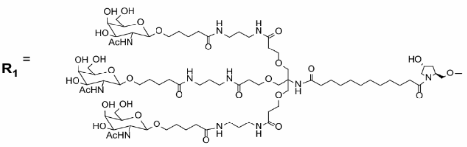
Vutrisiran
- 库存:
期货
- 供应商:
上海阿拉丁生化科技股份有限公司
- CAS号:
1867157-35-4
- 规格:
V651358-5mg/V651358-1mg
| 规格: | V651358-5mg | 产品价格: | ¥9599.9 |
|---|---|---|---|
| 规格: | V651358-1mg | 产品价格: | ¥3199.9 |
英文名:Vutrisiran sodium
纯度或规格:Moligand™, ≥96%
SPU:V651358
CAS:1867157-35-4
存储温度:-20°C储存;干燥
运输条件:超低温运输
查看阿拉丁官网此产品相关对应页面:
风险提示:丁香通仅作为第三方平台,为商家信息发布提供平台空间。用户咨询产品时请注意保护个人信息及财产安全,合理判断,谨慎选购商品,商家和用户对交易行为负责。对于医疗器械类产品,请先查证核实企业经营资质和医疗器械产品注册证情况。
文献和实验【信息】Northstar BioProducts(NSBP)
)2 asparagine-1, 4-N-acetyl--glucosaminohydrolase. Lyophilized powder Activity: ≥25 units/mg protein 100465-1 Endoglycosidase H, (Streptomyces griseus), EC 3.2.1.96 0.1 unit 100465-2 Endoglycosidase H, (Streptomyces griseus), EC 3.2.1.96
,然后测定阳性、阴性对照、样品孔OD值。样品的OD值(滴度≥300)/阴性对照均值(S/N)≥2.1倍者为阳性,反之阴性。②组织学检查:胃粘膜组织直接尿素酶试验和涂片镜检,见参考文献,两项试验有一项阳性者即为Hp感染阳性者。 统计学方法 统计学方法采用X 2 检验,X 2 M―N趋势性检验 2 结果 在307例自然人中(表1),抗HpIgG阳性率为14.7%,其中男性为15.7%,女性为13
(1)先算方差: (2)OR 的(1-α)%可信限 计算实例:仍用表4-11的数据,计算OR的95%可信限。Uα/2 =1.96,OR=1.71,Var(lnOR)=(60+35)/(60×35)=0.0452, 结果与用公式(附式5-1)算得的(1.14,2.57)很接近,而且理论上更恰当。 (二)病例对照研究样本含量的估计 所谓样本含量估计是指在满足一定条件下的一个粗略估计数;条件
技术资料暂无技术资料 索取技术资料











