相关产品推荐更多 >
万千商家帮你免费找货
0 人在求购买到急需产品
- 详细信息
- 文献和实验
- 技术资料
- 保存条件:
-20°C储存
- 英文名:
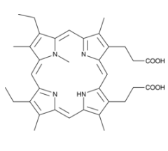
N-Methyl Mesoporphyrin IX
- 库存:
现货
- 供应商:
上海阿拉丁生化科技股份有限公司
- CAS号:
142234-85-3
- 规格:
N344713-5mg/N344713-1mg
| 规格: | N344713-5mg | 产品价格: | ¥4089.9 |
|---|---|---|---|
| 规格: | N344713-1mg | 产品价格: | ¥1499.9 |
英文名:N-Methyl Mesoporphyrin IX
纯度或规格:≥95%, mixture of isomers
SPU:N344713
CAS:142234-85-3
存储温度:-20°C储存
运输条件:超低温运输
查看阿拉丁官网此产品相关对应页面:
风险提示:丁香通仅作为第三方平台,为商家信息发布提供平台空间。用户咨询产品时请注意保护个人信息及财产安全,合理判断,谨慎选购商品,商家和用户对交易行为负责。对于医疗器械类产品,请先查证核实企业经营资质和医疗器械产品注册证情况。
文献和实验under optimal pH conditions. From the mixture of pyrophosphorylated InsP 6 derivatives containing all theoretically possible isomers of PP InsP 5 , bisPP InsP 4 , and also some isomers of trisPP InsP 3 , isomers were separated by anion-exchange chromatography
【信息】Northstar BioProducts(NSBP)
I (Heparin lyase, Heparin eliminase, Heparitinase III), EC 4.2.2.7 0.5 unit 50-100 Heparinase I (Heparin lyase, Heparin eliminase, Heparitinase III), EC 4.2.2.7 0.1 unit Frozen liquid. Specific Activity: ≥100 IU/mg Purity ≥95% (HPLC, SDS
High performance liquid chromatography/electron spin resonance/mass spectrometry (HPLC/ EPR/MS) analyses of radicals is performed for the reaction mixture of 13-hydroperoxy-(9Z,11E)-octadeca-9,11-dienoic acid (13ZE-OOH) with ferrous ions
技术资料暂无技术资料 索取技术资料











