万千商家帮你免费找货
0 人在求购买到急需产品
- 详细信息
- 技术资料
- 库存:
50
- 英文名:
Chrysin
- CAS号:
480-40-0
- 供应商:
上海抚生
- 保存条件:
2-8℃
- 规格:
20mg
1、新开瓶标准品要在瓶上注明开瓶日期,应根据瓶号依次来使用(整瓶使用或者送样 情况除外),同一批号的标准品或工作对照品必须使用完一瓶后再开启另一瓶,标准品使用过程中,已取出的标准品严禁再放回原瓶中。
2、同一瓶工作标准品的开启使用的次数不应超过20次,使用的时间不应超过1个月, 使用次数很少或具有吸湿性的工作标准品分装时应考虑一次性使用量分装。
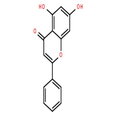
产品名称:白杨素
英文名称: Chrysin
规格:20mg
产品编号: A130063
纯度: HPLC≥98%
Cas No.: 480-40-0
分子式: C15H10O4
分子量:254.24
熔点: 285-286
比重: 1.443
储存条件: 2-8℃
检测方法: HPLC≥98%
来源: Ulmus sieboldiana, Flourensia resinosa, Oroxylum indicum, Populu
外观: 黄色粉末
溶解性: DMSO
⒈一级标准品(原级参考物)
物质稳定而均一,数值由决定性方法确定,或由高度准确的若干方法确定,所含杂质也已经定量。它可用于校正决定性方法,评价及校正参考方法以及为“二级标准品”定值。一级标准品都有证书,在美国由局(NBS)发给合格证书,并指明它的性质和有关数据。
⒉二级标准品(次级标准品)或是纯溶液(水或有机溶剂的溶液),或存在于相似基质中。这类标准品可由实验室自己配制或为商品,其中有关物质的量由参考方法定值或用一级标准品比较而确定,主要用于常规方法的标化或为控制物定值。
⒊控制物控制物有冻干的或溶液,可以用适当的标准品(一级或二级)以参考方法定值,用于质量控制,不用于标化(除经准确定值者)。
1、如无特殊情况,工作标准品的含量每半年复标一次或另取新生产的样品标定。当标准品暂不使用时,复标周期可能超过规定周期,在使用前进行复标,合格后可以继续使用。
2、对于特定市场使用的工作标准品,复标可以按照当地药政局或者药典的规定的周期来进行。
3 标准品若在使用过程中发现异常或者较大变化,应停止使用该标准品,并考虑采用更严格的包装和保存方式或缩短其复标期等措施。
4、若老的基准标准品批号过期,则用此批基准标准品标定过的相应的工作标准品应按照新批号基准标准品进行重新标定,用此批标准品配制的储备溶液也应同时失效,应用新的批号基准标准品重新配制。
5、基准标准品 按说明书要求,若标签或者化验单上没有指明有效期(失效期),可以到网站上查询,如USP,EP 标准品目录单,若无法查到,同本厂规定此种药品的有效期,若无法得知此批的标定日期,可以从收到标准品日期算起。
6、对于省药检所,兽药检所标定的工作标准品,有效期(失效期)同该产品的有效期。
| 茶黄素-3-没食子suan酯 | Theophylline |
| 3-溴ben甲suanyi酯 | Formylation of human growth hormone |
| 1-甲基-1H-吡唑-4-甲醛 | NoLimits™ 5000 bp D Fragment |
| 10-氮(杂)蒽 | NoLimits™ 10000 bp D Fragment |
| 甘氨suan苄酯盐suan盐 | NoLimits™ 7000 bp D Fragment |
| N-苄氧羰基-L-谷氨酰胺 | NoLimits™ 25 bp D Fragment |
| 4-甲基-1-茚酮 | NoLimits™ 17000 bp D Fragment |
| 2,5-二lvbenyi酮 | RiboRuler™ High Range R Ladder |
| 4-氮杂吲唑 | NoLimits™ 3000 bp D Fragment |
| D-别苏氨suan | L- alanine |
| 二硫代磷suan二yi酯 | NoLimits™ 1500 bp D Fragment |
| 4-氨基-3-甲基ben甲suan | NoLimits™ 1200 bp D Fragment |
| 2-溴-4'-羟基benyi酮 | 白杨素NoLimits™ 1000 bp D Fragment |
| (R)-(-)-3-羟基丁suanyi酯 | NoLimits™ 850 bp D Fragment |
| 丙烯suan苄酯 | RiboRuler™ High Range R Ladder, ready-to-use |
风险提示:丁香通仅作为第三方平台,为商家信息发布提供平台空间。用户咨询产品时请注意保护个人信息及财产安全,合理判断,谨慎选购商品,商家和用户对交易行为负责。对于医疗器械类产品,请先查证核实企业经营资质和医疗器械产品注册证情况。
技术资料暂无技术资料 索取技术资料
白杨素
¥220









