相关产品推荐更多 >
万千商家帮你免费找货
0 人在求购买到急需产品
- 详细信息
- 文献和实验
- 技术资料
- 库存:
31
- 英文名:
Chlorogenic acid
- CAS号:
BK-DZ1975
- 供应商:
帛科
- 保存条件:
2-8°C,避光保存、低温下保存
- 规格:
20mg/支、1g/支
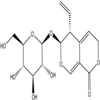
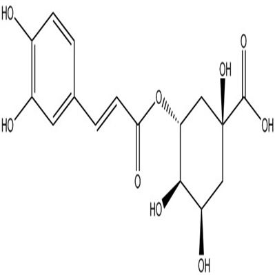
| 产品名称 | 绿原酸327-97-9 | 英文名称 | Chlorogenic acid |
| 货号 | BK-DZ1975 | CAS号 | 327-97-9 |
| 分子式 | C16H18O9 | 分子量 | 354.31 |
中文别称:3-咖啡酰奎尼酸
英文名:Chlorogenic acid
英文别称:3-Caffeoylquinic acid#Heriguard#Chlorogenic acid
CAS号:327-97-9
分子式:C16H18O9
分子量:354.31
结构类型:苯丙素
溶解性:甲醇、乙醇、水
概念上,标准品是指用于生物检测或效价测定的标准物质,特性量值一般按效价单位来计。
对照品是指采用理化方法进行鉴别、检查和含量测定的标准物质,特性量值一般按纯度来计算。
两个都是标准物质,区别主要在于检测方法和特征量值单位不同。现在很多药品或化合物既有对照品,又有标准品,很容易混淆。
但是有一个简单直接的方法可以鉴别它们,那就是看实验的检测方法!举个例子,如果是用微生物法测定头孢克洛效价时,那标准物质一定是它的标准品,而如果是用HPLC或UV法来测定时,则选用的是它的对照品;
在医药行业中,两者的混用可能伴随着比较大的风险,所以大家务必养成规范贴标签的习惯,按照规定,标准品的容器上至少标明名称、批号、有效期、首次开启日期、含量或效价以及储存条件这六个要素。
不同于试剂有纯度的要求,标准品只要含量是精准的,即使不那么纯,也能做标准物质。另外标准品是从原料药中提纯出来的,比原料药要贵。
| Secaubrytriol | Elatoside F |
| (+)-Pinoresinol 4-O-glucoside | Fissistigine A |
| Phochinenin G | Fissistigine A |
| Polydatin | flavanomarein |
| 2-(4-Hydroxyphenyl)ethanol | Flavanocorepsin |
| Temozolomide | Flavanomarein |
| Nonin A | Flavaprin |
| Curdione | Flavidin |
| Methylisopelletierine | Fisetin |
| Aconitine | Fisetin |
| Isosativanone | Fischeria A |
| (-)-Epipinoresinol | Fingolimod hydrochloride |
| cis-1,2,3,4-Tetrahydro-1-(3,4-methylenedioxyphenyl)-9H-pyrido[3,4-b]indole-3-carboxylic acid methyl ester hydrochloride | 绿原酸327-97-9Fingolimod |
| 3-Ethyl-4-methyl-3-pyrrolin-2-one | Finasteride |
| Filixic acid ABA | Filixic acid ABA |
1、红外分光光度法用于鉴别和定量。
2、紫外分光光度法的定量方法。
3、用于仪器或视觉比较的比色定量方法。
4、一种色谱分离、鉴定和定量的方法。
5、其他液-液分离技术的定量分离方法(提取率受实验条件影响)。
6、用于非化学计量关系的定量方法,如滴定法和重量法。
7、特定旋转含量的测定。
8、需要知道组分的固定比例(如顺反结构)作为控制方法。
注意事项:
1、中药对照品的研究、开发、校准、储存和销售是一项耗时耗力的工作,因此应该有一个量表来衡量建立标准物质的必要性和可行性。
2、化学标准物质的建立以和部颁标准修订中提出的质量标准相关项目为依据。
3、为了减少建立化学标准物质所需的繁重工作,我们应该尽努力采用在不比较标准物质的情况下仍能达到预期结果的方法。
风险提示:丁香通仅作为第三方平台,为商家信息发布提供平台空间。用户咨询产品时请注意保护个人信息及财产安全,合理判断,谨慎选购商品,商家和用户对交易行为负责。对于医疗器械类产品,请先查证核实企业经营资质和医疗器械产品注册证情况。
文献和实验溶性和硅胶耐酸能力的限制,水和酸的使用是有限度的。 3、类极性大的小分子 有机酸: 没食子酸:氯仿-醋酸乙酯-甲酸(5:4:1)、阿魏酸、咖啡酸、菊苣酸、绿原酸、异绿原酸。例如下面以苯丙烷为极性小部分,随着极性基团部分的增加,总体的极性就增加,展开剂极性也增加了。依次为肉桂酸、阿魏酸、咖啡酸、菊苣酸、绿原酸。相应展开剂分别为:正己烷—乙醚—冰醋酸(5:5:0.1)、苯-冰醋酸-甲醇(30:1:3)、氯仿-甲醇-甲酸(9:1: 0.5)、石油醚-乙酸乙酯-甲酸(3:6: 1)、醋酸丁酯-甲酸-水
-326 B-40内箱F挡板 Hozan B系列 B-327 B-40内箱G挡板 Hozan B系列 B-405D 带门型储藏柜 Hozan B系列 B-415D 带门型储藏柜 Hozan B系列 B-423 叠放型储藏柜 Hozan B系列 B-425 叠放型储藏柜 Hozan B系列 B-450 放置台 Hozan B系列 B-605 工具服务箱 Hozan B系列 B-620 工具服务箱 Hozan B系列 B
HPLC‐SEC Characterization of Membrane Protein‐Detergent Complexes
, and refractive index detectors. Methods Mol. Biol. 328:97‐112. Folta‐Stogniew, E. and Williams, K. 1999. Determination of molecular masses of proteins in solution: Implementation
技术资料暂无技术资料 索取技术资料








