相关产品推荐更多 >
万千商家帮你免费找货
0 人在求购买到急需产品
- 详细信息
- 技术资料
- 库存:
60
- 英文名:
Ginsenoside Rh1
- CAS号:
63223-86-9
- 供应商:
帛科
- 保存条件:
2-8°C,避光保存、低温下保存
- 规格:
20mg/支、1g/支
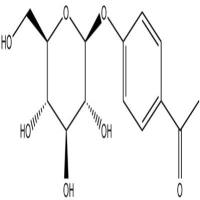
人参皂苷Rh163223-86-9
商品介绍:
中文名:人参皂苷Rh1
中文别称:20(S)-人参皂苷Rh1
英文名:Ginsenoside Rh1
英文别称:20(S)-Ginsenoside Rh1
CAS号:63223-86-9
分子式:C36H62O9
分子量:638.88
结构类型:三萜
溶解性:甲醇、DMSO
商品属性:
| 产品名称 | 人参皂苷Rh1 | CAS号 | 63223-86-9 |
| 货号 | BK-DZ1789 | 分子量 | 638.88 |
| 分子式 | C36H62O9 | 用途 | 仅供科研实验 |
对照品注意事项:
1、用来做实验的产品的用量应该满足:滴定液为20ml左右,达到对精度的要求;
2、滴定液的判断要求一定要明确严格,并且提供滴定的曲线,如选用指示剂法,应考虑其变色敏锐,并用电位法校准其终点颜色;
3、为排除因加入其它试剂而混入杂质对测定结果的影响,或便于剩余滴定法的计算,可采用“将滴定的结果用空白试验校正”的办法;
4、要给出滴定度(采用四位有效数字)的推导过程。标定结果要根据3个以上实验室各不少于15组测定结果经统计分析,去除离群值和可疑值后的结果,并报告可信限。
对照品的标化:
对照品的质量直接影响到检验样品的结果。因此,对照品的标化十分重要,中国药品生物制品检定所为此制定了严格的标化程序。
首先应根据中国药典或卫生部标准,参考USP,BP,JP等国外 药典,查阅Merk Index等资料 确定对照品的标化项目和检验方法。
1、标化内容包括:
(1)物理常数的测定
1)熔点:依药典方法进行,取三次测定的平均值加温度计的校 正值。熔点现象不易观察的品种加作DSC熔点测定。
2)比旋度:按药典规定的方法测定,空白左右分别测定3次,样 品左右分别测定5次,计算平均值。
3)吸收系数(E: )值:测定时要求平行两份样品,每份样品按两 个浓度(药典浓度±10%)进行测定。
2、纯度考察
重点用薄层色谱法和高效液相色谱法两种方法作“有关物质” 检查:
1)薄层色谱法:要求两个展开系统,显色灵敏度要达到检测量 的0.1% ~0.2%。对照液的点样量为梯度,样品液的点样量为药典量 和药典的加倍量。实验的结果要报出样品的Rf值、杂质的量。当杂 质的量较大时,要用双向展开的方法确定样品是否分解。
2)高效液相色谱法:要求两种流动相或不同型号的两根柱子, 最小检出量要达到检测量的0.1% ,进样量为药典量和药典量的加 倍量,进行二极管阵列检测峰纯度,用归一化法或主成分自身稀释 对照法计算杂质量。
3、含量测定
要求用两种方法测定含量。一般为容量法和色谱法。容量法要 求两人分别测定3~5份。每人的平行实验结果以及两人的实验结 果的相对偏差均应小于0.3%。高效液相色谱法需用3种浓度作校 正因子,精密度要求尼 小于1.5%。若用分光光度法测定含量,必 须用对照品法,E值法只能作参考。含量测定用的化学对照品还要 求作DSC纯度测定。
| Notrilobolide | 佛司可林 |
| 乙酰多巴胺二聚体I | Alternariol |
| Nudicaucin B | Alternariol monom |
| Nudol | Altrenogest |
| 异黄芪皂苷II | Altholactone |
| 隐绿原酸 | Alyxialactone |
| 马来酸氯苯那敏 | Amabiloside |
| 4,9,10-三甲氧基菲-2,5-二醇 | Amaronol A |
| 木犀草素 | Alterlactone |
| 北五加皮苷M | Altenuene |
| 诃子鞣酸 | Altechromone A |
| 槲皮素-3-龙胆二糖苷 | Alstonine |
| 20(S)-人参皂苷 F1 | 人参皂苷Rh163223-86-9Alstonic acid B |
| 牛奶藤糖苷E0 | Alstonic acid A |
| a-L-Rhamnopyranose | Alstolenine |
风险提示:丁香通仅作为第三方平台,为商家信息发布提供平台空间。用户咨询产品时请注意保护个人信息及财产安全,合理判断,谨慎选购商品,商家和用户对交易行为负责。对于医疗器械类产品,请先查证核实企业经营资质和医疗器械产品注册证情况。
技术资料暂无技术资料 索取技术资料
人参皂苷Rh163223-86-9
¥600 - 3900








