相关产品推荐更多 >
万千商家帮你免费找货
0 人在求购买到急需产品
- 详细信息
- 文献和实验
- 技术资料
- 库存:
33
- 英文名:
Methyl Oleate
- CAS号:
112-62-9
- 供应商:
帛科
- 保存条件:
2-8°C,避光保存、低温下保存
- 规格:
20mg/支、1g/支
商品属性:
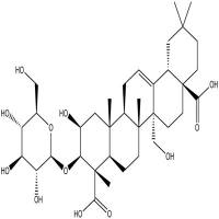
| 产品名称 | 油酸甲酯 | CAS号 | 112-62-9 |
| 货号 | BK-DZ1730 | 分子量 | 296.5 |
| 分子式 | C19H36O2 | 用途 | 仅供科研实验 |
商品介绍:
中文名:油酸甲酯
中文别称:顺-9-十八碳烯酸甲酯
英文名:Methyl Oleate
英文别称:AgniqueME 181U
CAS号:112-62-9
分子式:C19H36O2
分子量:296.5
结构类型:其它化合物
溶解性:氯仿、甲醇
对照品注意事项:
1、用来做实验的产品的用量应该满足:滴定液为20ml左右,达到对精度的要求;
2、滴定液的判断要求一定要明确严格,并且提供滴定的曲线,如选用指示剂法,应考虑其变色敏锐,并用电位法校准其终点颜色;
3、为排除因加入其它试剂而混入杂质对测定结果的影响,或便于剩余滴定法的计算,可采用“将滴定的结果用空白试验校正”的办法;
4、要给出滴定度(采用四位有效数字)的推导过程。标定结果要根据3个以上实验室各不少于15组测定结果经统计分析,去除离群值和可疑值后的结果,并报告可信限。
| 报春黄苷 | 豆甾醇葡萄糖苷 |
| 双硫仑 | 5,7-Dihydroxy 4-methylcoumarin |
| 菜油甾醇 | 5,7-Dihydroxy-2-isopropylchromone |
| 盐酸洛哌丁胺 | 5,7-Dihydroxy-3-(4-hydroxybenzyl)chroman-4-one |
| 氯化芍药素-3-O-葡萄糖苷 | 5,7-Dihydroxy-3-(4-hydroxy-3,5-dimethoxybenzyl)-6,8-dimethylchroman-4-one |
| 百蕊草素I | 5,7-Dihydroxy-3',4',5'-trimethoxyflav |
| 蔗果十三糖 | 5,7-Dihydroxy-3,4',8-trimethoxyflavone |
| 灰毡毛忍冬素G | 5,7-Dihydroxy-3,4',8-trimethoxyflavone |
| 2,4-二羟基苯乙酮 | 5,7-Diacetoxyflavone |
| 堪非醇-3-O-桑布双糖苷 | 5,7-Diacetoxy-8-methoxyflavone |
| 藜芦胺 | 5,7-Diacetoxy-3,8,4'-trimethoxyflavone |
| L-赖氨酸 | 5,7,8-Trimethoxycoumarin |
| 戈米辛J | 油酸甲酯112-62-95,7,8,4'-Tetramethoxyflavone |
| 丁二酸酐 | 5,7,4'-Tri-O-methylcatechin |
| 5,7,4'-Trihydroxy-3,6-dimethoxy-3'-prenylflavone | 5,7,4'-Tri-O-methylaromadendrin |
对照品的质量直接影响到检验样品的结果。因此,对照品的标化十分重要,中国药品生物制品检定所为此制定了严格的标化程序。
首先应根据中国药典或卫生部标准,参考USP,BP,JP等国外 药典,查阅Merk Index等资料 确定对照品的标化项目和检验方法。
1、标化内容包括:
(1)物理常数的测定
1)熔点:依药典方法进行,取三次测定的平均值加温度计的校 正值。熔点现象不易观察的品种加作DSC熔点测定。
2)比旋度:按药典规定的方法测定,空白左右分别测定3次,样 品左右分别测定5次,计算平均值。
3)吸收系数(E: )值:测定时要求平行两份样品,每份样品按两 个浓度(药典浓度±10%)进行测定。
2、纯度考察
重点用薄层色谱法和高效液相色谱法两种方法作“有关物质” 检查:
1)薄层色谱法:要求两个展开系统,显色灵敏度要达到检测量 的0.1% ~0.2%。对照液的点样量为梯度,样品液的点样量为药典量 和药典的加倍量。实验的结果要报出样品的Rf值、杂质的量。当杂 质的量较大时,要用双向展开的方法确定样品是否分解。
2)高效液相色谱法:要求两种流动相或不同型号的两根柱子, 最小检出量要达到检测量的0.1% ,进样量为药典量和药典量的加 倍量,进行二极管阵列检测峰纯度,用归一化法或主成分自身稀释 对照法计算杂质量。
3、含量测定
要求用两种方法测定含量。一般为容量法和色谱法。容量法要 求两人分别测定3~5份。每人的平行实验结果以及两人的实验结 果的相对偏差均应小于0.3%。高效液相色谱法需用3种浓度作校 正因子,精密度要求尼 小于1.5%。若用分光光度法测定含量,必 须用对照品法,E值法只能作参考。含量测定用的化学对照品还要 求作DSC纯度测定。
风险提示:丁香通仅作为第三方平台,为商家信息发布提供平台空间。用户咨询产品时请注意保护个人信息及财产安全,合理判断,谨慎选购商品,商家和用户对交易行为负责。对于医疗器械类产品,请先查证核实企业经营资质和医疗器械产品注册证情况。
文献和实验B8.1 C9.9 A8.7 F8.3 51.7 8.62 Ⅲ C7.3 F7.3 E6.8 A7.4 B6.0 D7.7 42.5 7.08 Ⅳ A7.4 E7.7 C6.4 F5.8 D7.1 B6.4 40.8 5.80 Ⅴ F6.4 B6.2 D8.1 E8.5 C6.4 A7.1 42.7 7.12 Ⅵ D5.9 A8.2 F7.7 B7.5 E8.5 C7.3 45.1 7.52 各次小计 43.0 44.3 45.0 45.2 44.0 43.7 265.2 部 位 小 计
) weight) (Picul) gram) (Pound) 1 0.9842 1.1023 20 19.684 16.535 1,000 2,000 2,204.62 1.016 1 1.12 20.32 20 16.8 1,016.05 2,032.1 2,240 0.9072 0.8929 1 18.144 17.857 15
124 88 0.25 0.30 123 87 61 0.30 0.35 110 90 64 102 45 0.35 0.40 85 70 100 50 108 78 35 0.40 0.45 118 68 101 55 105 79 39 108 86 62
技术资料暂无技术资料 索取技术资料








