相关产品推荐更多 >
万千商家帮你免费找货
0 人在求购买到急需产品
- 详细信息
- 文献和实验
- 技术资料
- 库存:
21
- 英文名:
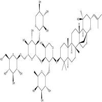
Ginsenoside Rg6
- CAS号:
147419-93-0
- 供应商:
帛科
- 保存条件:
2-8°C,避光保存、低温下保存
商品属性:
| 产品名称 | 人参皂苷Rg6 | CAS号 | 147419-93-0 |
| 货号 | BK-DZ0966 | 分子量 | 767 |
| 分子式 | C42H70O12 | 用途 | 仅供科研实验 |
商品介绍:
中文名:人参皂苷Rg6
中文别称:
英文名:Ginsenoside Rg6
英文别称:
CAS号:147419-93-0
分子式:C42H70O12
分子量:767
对照品注意事项:
1、用来做实验的产品的用量应该满足:滴定液为20ml左右,达到对精度的要求;
2、滴定液的判断要求一定要明确严格,并且提供滴定的曲线,如选用指示剂法,应考虑其变色敏锐,并用电位法校准其终点颜色;
3、为排除因加入其它试剂而混入杂质对测定结果的影响,或便于剩余滴定法的计算,可采用“将滴定的结果用空白试验校正”的办法;
4、要给出滴定度(采用四位有效数字)的推导过程。标定结果要根据3个以上实验室各不少于15组测定结果经统计分析,去除离群值和可疑值后的结果,并报告可信限。
| 槲皮素-3,7-O-二葡萄糖苷 | Quercetin-3,7-diglucoside |
| 水飞蓟宾分析对照品 | Pedunculoside |
| 京尼平苷酸分析对照品 | Baicalin |
| 盐酸黄柏碱分析对照品 | Aloin |
| 雷公藤内酯酮分析对照品 | Echinacoside |
| 辛夷脂素分析对照品 | Chrysophanol |
| 蟛蜞菊内酯分析对照品 | Dioscin |
| 黄芪甲苷分析对照品 | Adenosine |
| 芒果苷分析对照品 | Baicalein |
| 辛弗林分析对照品 | Aurantio-obtusin |
| 绿原酸分析对照品 | Ellagicacid |
| 五味子乙素分析对照品 | Sarsasapogenin |
| 射干苷分析对照品 | 人参皂苷Rg6147419-93-0Nodakenin |
| 丹皮酚分析对照品 | GinsenosideRd |
| 野黄芩苷分析对照品 | Geniposide |
对照品的质量直接影响到检验样品的结果。因此,对照品的标化十分重要,中国药品生物制品检定所为此制定了严格的标化程序。
首先应根据中国药典或卫生部标准,参考USP,BP,JP等国外 药典,查阅Merk Index等资料 确定对照品的标化项目和检验方法。
1、标化内容包括:
(1)物理常数的测定
1)熔点:依药典方法进行,取三次测定的平均值加温度计的校 正值。熔点现象不易观察的品种加作DSC熔点测定。
2)比旋度:按药典规定的方法测定,空白左右分别测定3次,样 品左右分别测定5次,计算平均值。
3)吸收系数(E: )值:测定时要求平行两份样品,每份样品按两 个浓度(药典浓度±10%)进行测定。
2、纯度考察
重点用薄层色谱法和高效液相色谱法两种方法作“有关物质” 检查:
1)薄层色谱法:要求两个展开系统,显色灵敏度要达到检测量 的0.1% ~0.2%。对照液的点样量为梯度,样品液的点样量为药典量 和药典的加倍量。实验的结果要报出样品的Rf值、杂质的量。当杂 质的量较大时,要用双向展开的方法确定样品是否分解。
2)高效液相色谱法:要求两种流动相或不同型号的两根柱子, 最小检出量要达到检测量的0.1% ,进样量为药典量和药典量的加 倍量,进行二极管阵列检测峰纯度,用归一化法或主成分自身稀释 对照法计算杂质量。
3、含量测定
要求用两种方法测定含量。一般为容量法和色谱法。容量法要 求两人分别测定3~5份。每人的平行实验结果以及两人的实验结 果的相对偏差均应小于0.3%。高效液相色谱法需用3种浓度作校 正因子,精密度要求尼 小于1.5%。若用分光光度法测定含量,必 须用对照品法,E值法只能作参考。含量测定用的化学对照品还要 求作DSC纯度测定。
风险提示:丁香通仅作为第三方平台,为商家信息发布提供平台空间。用户咨询产品时请注意保护个人信息及财产安全,合理判断,谨慎选购商品,商家和用户对交易行为负责。对于医疗器械类产品,请先查证核实企业经营资质和医疗器械产品注册证情况。
文献和实验摘要:目的对野生和栽培竹节参中所含人参皂苷及其含量进行比较。方法参照人参的分析方法,以人参皂苷 Rg1、 Re为对照品,对野生和栽培竹节参进行 TLC鉴别比较,用发HPLC法进行定量分析。结果在选定的薄层条件下,对照品与供试品的薄层图谱清晰,分离度好,栽培和野生竹节参具有相同的斑点; 对照品在0.48~2.40 μg范围内具有良好的线性关系,回归方程为:Y= 336 182X-302 41, r=0.999 8。结论根据测定和比较的结果,栽培和野生竹节参所含人参皂苷类成分基本
电话15309255122 QQ:1578302142 传真029-85237916 联系人 寇小姐 EPR-04 DGR-M1 MK-01P EPM-4C GKR-M2 EPM-4CT EVM-05C EPM-04 AK-01D 5A CKR-81T ECR-3 MPR-53 RG-6T-96 MK-03P EPR-03 GKRS-02F EVM-3 DGRD-01 EPM-0X FKR
Gene Identification: Methods and Considerations
clone RG364P16 from 7q31 as the query. The upper window shows the results of the prediction, with the histogram representing the probability that a given stretch of DNA is an exon. The various colored bars in the center represent features of the DNA (e.g
技术资料暂无技术资料 索取技术资料








