相关产品推荐更多 >
万千商家帮你免费找货
0 人在求购买到急需产品
- 详细信息
- 技术资料
- 库存:
53
- 英文名:
3-Acetyl-β-boswellic acid
- CAS号:
5968-70-7
- 保质期:
2年
- 供应商:
上海联祖
- 保存条件:
4℃冷藏、密封、避光
- 规格:
10mg/支
(一)来源:
依照有关规定,中国用于药品成品检验的标准品(对照品)来源有:一是中国药品生物制品检定所提供的标准品(对照品);二是其他国家的标准品(对照品);三是省级以上药品检验所标定,并经同级食 品药品监管局批准的标准品(对照品)。
(二)有效期和使用说明书:
中国药品生物制品检定所提供的标准品(对照品)大部分均无使用说明书和使用期限,大都沿用新的批号出现、旧的批号自动停止的管理方式。
(三)使用过程:
工作标准品(对照品)虽经有关部门认可,但要求有标化日期、复标日期、贮存条件、使用等相关文件规定,并做好相应记录。
(四)验证问题:
按标准品(对照品)管理要求,使用前应对其进行验证,确认无误后方可使用。
(五)开封问题:
对已开封的标准品(对照品)管理方面的问题应做严格的规定,不应同未开封的标准品(对照品)放在一起继续使用,包装上应做好相关标识,说明是否已开封过、何时开封的,内含量等相关信息。
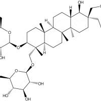
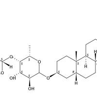
3 -乙酰基-β乳香酸5968-70-7
| 产品中文名称 | 3 -乙酰基-β乳香酸 | 英文名 | 3-Acetyl-β-boswellic acid |
| CAS登录号 | 5968-70-7 | 货号 | LZ-BP1920 |
| 分子式 | C32H50O4 | 纯度 | HPLC≥98% |
| 分子量 | 498.748 | 分析方法 | HPLC-DAD or/and HPLC-ELSD |
| 鉴定方法 | Mass, NMR | 规格 | 10mg/支 |
规格:10mg/支
物理性状:
化合物类型: Triterpenoids
纯度:HPLC≥98%
分析方法: HPLC-DAD or/and HPLC-ELSD
鉴定方法: 质谱(Mass), 核磁(NMR)
贮存条件:4℃冷藏、密封、避光
有效期:2年
供货能力:大量现货
CEP-37440 Nafcillin Sodium Anti-HMGB2 Polyclonal Antibody
CEP-40783 Nadifloxacin Anti-YWHAQ Polyclonal Antibody
cFMS-IN-2 Nevirapine Anti-TIMP2 Polyclonal Antibody
CG-806 Neomycin sulfate Anti-GDF15 Polyclonal Antibody
c-Fms-IN-1 Nifursemizone (Etafurazone) Anti-BCAS2 Polyclonal Antibody
c-Fms-IN-3 Nifuroxazide Anti-MX1 Polyclonal Antibody
c-Met inhibitor 1 Nifuratel Anti-CLDN19 Polyclonal Antibody
BPR1J-097 Niclosamide Anti-PCSK5 Polyclonal Antibody
Brigatinib Norfloxacin Anti-RPUSD4 Polyclonal Antibody
BDTX-189 Anti-COQ5 Polyclonal Antibody
Belizatinib Nitromide (3,5-) Goat Anti-rat IgG/PE-CY5
BI-4464 Nithiamide Anti-SRP19 Polyclonal Antibody
BIBF 1202 O-Methylviridicatin Donkey Anti-Goat IgG/PE-CY5
BLU-554 Nucleocidin (4'-Fluoro-5'-O-sulfamoyladenosine) Rabbit Anti-rat IgG/APC
BMS-509744 Nosiheptide Rabbit Anti-rat IgG/PE-CY5
AZD-3463 Oligomycin C Goat Anti-rat IgG/PE-Cy7
3 -乙酰基-β乳香酸5968-70-7对照品系指用于鉴别、检查、含量测定和校正检定仪器性能的标准物质.
标准品系指用于生物检定、抗生素或生物药品中含量或效价测定的标准物质,以效价单位(U)表示。
对照品系指用于生物制品理化等方面测定的特定物质,由 单位采用与制品 工艺相同的方法制备。对照品应尽可能与制品原液配方一致,稳定性较差的,可加不含对测定有干扰物质的适宜的稳定剂。对照品由国家药品检定机构审查认可,其标准应不低于制品的质量标准。
标准品:是指用于鉴别、检查、含量测定的标准物质,均由国务院药品监督管理部门指定的单位制备、标定和供应。标准品系指用于生物测定、抗生素或生化药品中含量或效价测定的标准物质,一国际标准品进行标定;对照品出另有规定外,按干燥进行计算后使用。
风险提示:丁香通仅作为第三方平台,为商家信息发布提供平台空间。用户咨询产品时请注意保护个人信息及财产安全,合理判断,谨慎选购商品,商家和用户对交易行为负责。对于医疗器械类产品,请先查证核实企业经营资质和医疗器械产品注册证情况。
技术资料暂无技术资料 索取技术资料
3 -乙酰基-β乳香酸5968-70-7
¥500 - 3800









