相关产品推荐更多 >
万千商家帮你免费找货
0 人在求购买到急需产品
- 详细信息
- 技术资料
- 库存:
32
- 英文名:
Virgaureagenin G
- CAS号:
22338-71-2
- 保质期:
2年
- 供应商:
上海联祖
- 保存条件:
4℃冷藏、密封、避光
- 规格:
5mg/支
商品属性:
商品介绍:
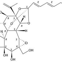
产品名称:毛果一枝黄花皂苷元G
CAS NO:22338-71-2
分子式:C30H48O6
分子量:504.71
英文名称:Virgaureagenin G
规格:5mg/支
分子结构:
物理性质:白色粉末
来源:远志的根
纯度:HPLC≥98%
分析方法: HPLC-DAD or/and HPLC-ELSD
鉴定方法: 质谱(Mass), 核磁(NMR)
贮存条件:4℃冷藏、密封、避光
有效期:2年
供货能力:大量现货
关于标准品、对照品的问题:
(一)来源:
叶黄素127-40-2依照有关规定,中国用于药品成品检验的标准品(对照品)来源有:一是中国药品生物制品检定所提供的标准品(对照品);二是其他国家的标准品(对照品);三是省级以上药品检验所标定,并经同级食 品药品监管局批准的标准品(对照品)。
(二)产品仅用于科研有效期和使用说明书:
中国药品生物制品检定所提供的标准品(对照品)大部分均无使用说明书和使用期限,大都沿用新的批号出现、旧的批号自动停止的管理方式。
(三)使用过程:
工作标准品(对照品)虽经有关部门认可,但要求有标化日期、复标日期、贮存条件、使用等相关文件规定,并做好相应记录。
(四)验证问题:
按标准品(对照品)管理要求,使用前应对其进行验证,确认无误后方可使用。
(五)开封问题:
对已开封的标准品(对照品)管理方面的问题应做严格的规定,不应同未开封的标准品(对照品)放在一起继续使用,包装上应做好相关标识,说明是否已开封过、何时开封的,内含多少量等相关信息。
公司正在出售的产品:
KTI12 Antibody Blocking Peptide DISC1 Antibody (Clone#22D79)
SLC22A23 Antibody Blocking Peptide HSP70/HSPA1A Antibody
BATF2 Antibody Blocking Peptide CYP2D6 Antibody
Recombinant human GM-CSF protein (Active, HEK293) p21/CDKN1A Antibody
Gli2 Antibody Blocking Peptide EIF4A3 Antibody (Clone#18E94)
phospho-c-ABL (Tyr204) isoform b(1149aa) Antibody Blocking Peptide GSTM1 Antibody (Clone#11F2)
ARHGEF11 Antibody Blocking Peptide CDK5 Antibody (Clone#OTI2H6)
ASGR1 Antibody Blocking Peptide GCKR Antibody (Clone#OTI1E7)
DCLK1 Antibody Blocking Peptide PDE8A Purified Antibody (Clone#EM-52)
TRIM52 Antibody Blocking Peptide IkB Alpha/NFKBIA Antibody
SPATA9 Antibody Blocking Peptide CARKL/SHPK Antibody (Clone#OTI1D1)
Ninein interacting protein Antibody Blocking Peptide CD14 Antibody (Clone#OTI4H4)
GNL1 Antibody Blocking Peptide CBX2 Antibody (Clone#22C76)
GRIK3 Antibody Blocking Peptide KGA/GAC/GLS Antibody (Clone#3G13)
Recombinant human CD86 / B7-2 protein, C-His-Avi (HEK293) / Biotin Caldesmon/CALD1 Antibody
SFRS7 Antibody Blocking Peptide Caspase 3/CASP3 (p12) Antibody
C22orf32 Antibody Blocking Peptide TNPO3 Antibody (Clone#19T91)
DCC Antibody Blocking Peptide ADK Antibody (Clone#25A83)
CACYBP Antibody Blocking Peptide YBX1 Antibody
phospho-RPA2 (Thr21) Antibody Blocking Peptide CDCA7L Antibody (Clone#OTI3B5)
注意事项:
毛果一枝黄花皂苷元G22338-71-2①加入试剂的顺序应一致,以保证所有反应板孔温育的时间一样。
②使用干净的塑料容器配置洗涤液‘’
③按照鸡血红蛋白(HB)ELISA检测试剂盒说明书中标明的时间、加液的量及顺序进行温育操作。
④底物A应挥发,避免长时间打开盖子。底物B对光敏感,避免长时间暴露于光下。避免用手接触,有毒。实验完成后应立即读取OD值。
⑤洗涤酶标板时应充分拍干,不要将吸水纸直接放入酶标反应孔中吸水。
⑥使用一次性的吸头以免交叉污染,吸取终止液和底物A、B液时,避免使用带金属部分的加样器 。
⑦实验中不用的板条应立即放回包装袋中,密封保存,以免变质。
⑧试剂应按标签说明书储存,使用前恢复到室温。稀稀过后的标准品应丢弃,不可保存。
⑨不用的其它试剂应包装好或盖好。不同批号的试剂不要混用。
| 产品名称 | 英文名称 | 规格 | 货号 |
| 毛果一枝黄花皂苷元G22338-71-2 | Virgaureagenin G | 5mg/支 | LZ-BP1589 |
商品介绍:
产品名称:毛果一枝黄花皂苷元G
CAS NO:22338-71-2
分子式:C30H48O6
分子量:504.71
英文名称:Virgaureagenin G
规格:5mg/支
分子结构:
物理性质:白色粉末
来源:远志的根
纯度:HPLC≥98%
分析方法: HPLC-DAD or/and HPLC-ELSD
鉴定方法: 质谱(Mass), 核磁(NMR)
贮存条件:4℃冷藏、密封、避光
有效期:2年
供货能力:大量现货
关于标准品、对照品的问题:
(一)来源:
叶黄素127-40-2依照有关规定,中国用于药品成品检验的标准品(对照品)来源有:一是中国药品生物制品检定所提供的标准品(对照品);二是其他国家的标准品(对照品);三是省级以上药品检验所标定,并经同级食 品药品监管局批准的标准品(对照品)。
(二)产品仅用于科研有效期和使用说明书:
中国药品生物制品检定所提供的标准品(对照品)大部分均无使用说明书和使用期限,大都沿用新的批号出现、旧的批号自动停止的管理方式。
(三)使用过程:
工作标准品(对照品)虽经有关部门认可,但要求有标化日期、复标日期、贮存条件、使用等相关文件规定,并做好相应记录。
(四)验证问题:
按标准品(对照品)管理要求,使用前应对其进行验证,确认无误后方可使用。
(五)开封问题:
对已开封的标准品(对照品)管理方面的问题应做严格的规定,不应同未开封的标准品(对照品)放在一起继续使用,包装上应做好相关标识,说明是否已开封过、何时开封的,内含多少量等相关信息。
KTI12 Antibody Blocking Peptide DISC1 Antibody (Clone#22D79)
SLC22A23 Antibody Blocking Peptide HSP70/HSPA1A Antibody
BATF2 Antibody Blocking Peptide CYP2D6 Antibody
Recombinant human GM-CSF protein (Active, HEK293) p21/CDKN1A Antibody
Gli2 Antibody Blocking Peptide EIF4A3 Antibody (Clone#18E94)
phospho-c-ABL (Tyr204) isoform b(1149aa) Antibody Blocking Peptide GSTM1 Antibody (Clone#11F2)
ARHGEF11 Antibody Blocking Peptide CDK5 Antibody (Clone#OTI2H6)
ASGR1 Antibody Blocking Peptide GCKR Antibody (Clone#OTI1E7)
DCLK1 Antibody Blocking Peptide PDE8A Purified Antibody (Clone#EM-52)
TRIM52 Antibody Blocking Peptide IkB Alpha/NFKBIA Antibody
SPATA9 Antibody Blocking Peptide CARKL/SHPK Antibody (Clone#OTI1D1)
Ninein interacting protein Antibody Blocking Peptide CD14 Antibody (Clone#OTI4H4)
GNL1 Antibody Blocking Peptide CBX2 Antibody (Clone#22C76)
GRIK3 Antibody Blocking Peptide KGA/GAC/GLS Antibody (Clone#3G13)
Recombinant human CD86 / B7-2 protein, C-His-Avi (HEK293) / Biotin Caldesmon/CALD1 Antibody
SFRS7 Antibody Blocking Peptide Caspase 3/CASP3 (p12) Antibody
C22orf32 Antibody Blocking Peptide TNPO3 Antibody (Clone#19T91)
DCC Antibody Blocking Peptide ADK Antibody (Clone#25A83)
CACYBP Antibody Blocking Peptide YBX1 Antibody
phospho-RPA2 (Thr21) Antibody Blocking Peptide CDCA7L Antibody (Clone#OTI3B5)
注意事项:
毛果一枝黄花皂苷元G22338-71-2①加入试剂的顺序应一致,以保证所有反应板孔温育的时间一样。
②使用干净的塑料容器配置洗涤液‘’
③按照鸡血红蛋白(HB)ELISA检测试剂盒说明书中标明的时间、加液的量及顺序进行温育操作。
④底物A应挥发,避免长时间打开盖子。底物B对光敏感,避免长时间暴露于光下。避免用手接触,有毒。实验完成后应立即读取OD值。
⑤洗涤酶标板时应充分拍干,不要将吸水纸直接放入酶标反应孔中吸水。
⑥使用一次性的吸头以免交叉污染,吸取终止液和底物A、B液时,避免使用带金属部分的加样器 。
⑦实验中不用的板条应立即放回包装袋中,密封保存,以免变质。
⑧试剂应按标签说明书储存,使用前恢复到室温。稀稀过后的标准品应丢弃,不可保存。
⑨不用的其它试剂应包装好或盖好。不同批号的试剂不要混用。
风险提示:丁香通仅作为第三方平台,为商家信息发布提供平台空间。用户咨询产品时请注意保护个人信息及财产安全,合理判断,谨慎选购商品,商家和用户对交易行为负责。对于医疗器械类产品,请先查证核实企业经营资质和医疗器械产品注册证情况。
技术资料暂无技术资料 索取技术资料
毛果一枝黄花皂苷元G22338-71-2
¥500 - 3800










