相关产品推荐更多 >
万千商家帮你免费找货
0 人在求购买到急需产品
- 详细信息
- 技术资料
- 库存:
46
- 英文名:
α-Amyrin acetate
- CAS号:
863-76-3
- 保质期:
2年
- 供应商:
上海联祖
- 保存条件:
4℃冷藏、密封、避光
- 规格:
5mg/支
商品属性:
商品介绍:
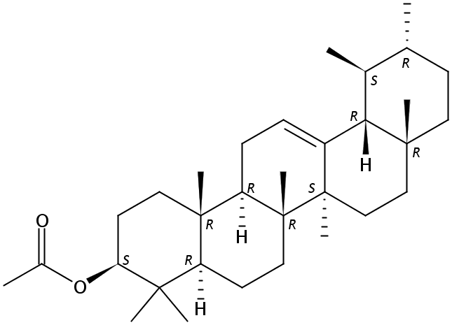
产品名称:α-香树脂醇乙酸酯
CAS NO:863-76-3
分子式:C32H52O2
分子量:468.75
英文名称:α-Amyrin acetate
规格:5mg/支
分子结构:
纯度:HPLC≥98%
分析方法: HPLC-DAD or/and HPLC-ELSD
鉴定方法: 质谱(Mass), 核磁(NMR)
贮存条件:4℃冷藏、密封、避光
有效期:2年
供货能力:大量现货
关于标准品、对照品的问题:
(一)来源:
叶黄素127-40-2依照有关规定,中国用于药品成品检验的标准品(对照品)来源有:一是中国药品生物制品检定所提供的标准品(对照品);二是其他国家的标准品(对照品);三是省级以上药品检验所标定,并经同级食 品药品监管局批准的标准品(对照品)。
(二)产品仅用于科研有效期和使用说明书:
中国药品生物制品检定所提供的标准品(对照品)大部分均无使用说明书和使用期限,大都沿用新的批号出现、旧的批号自动停止的管理方式。
(三)使用过程:
工作标准品(对照品)虽经有关部门认可,但要求有标化日期、复标日期、贮存条件、使用等相关文件规定,并做好相应记录。
(四)验证问题:
按标准品(对照品)管理要求,使用前应对其进行验证,确认无误后方可使用。
(五)开封问题:
对已开封的标准品(对照品)管理方面的问题应做严格的规定,不应同未开封的标准品(对照品)放在一起继续使用,包装上应做好相关标识,说明是否已开封过、何时开封的,内含多少量等相关信息。
公司正在出售的产品:
EPHB6 Antibody Blocking Peptide Anti-HLA-DRA Antibody
ILF2 Antibody Blocking Peptide Anti-NFATC2 Antibody
zbtb11/ZNF913 Antibody Blocking Peptide Anti-RPS19 Antibody
TRF41 Antibody Blocking Peptide Anti-CaMKII Alpha/CAMK2A Antibody
EIF4EBP2 Antibody Blocking Peptide Anti-Thyroglobulin/TG Antibody (Clone#20T82)
SIGMAR1 Antibody Blocking Peptide Anti-CXCL11 Antibody (Clone#18C54)
RHBG Antibody Blocking Peptide Anti-PGM2L1 Antibody (Clone#OTI5F5)
CTDSPL2 Antibody Blocking Peptide Anti-PD-1/CD279/PDCD1 Antibody (Clone#OTI4F10)
Beta Amyloid 29-42 Peptide Anti-SYF2 Antibody (Clone#OTI6A5)
ZNF720 Antibody Blocking Peptide Anti-CD154/CD40LG Antibody
HCN2 + HCN4 Antibody Blocking Peptide Anti-RND1 Antibody (Clone#OTI1C3)
ZNF12 Antibody Blocking Peptide Anti-ING2 Antibody (Clone#OTI3B11)
SLC1A1 Antibody Blocking Peptide Anti-DECR1 Antibody (Clone#OTI5D6)
AKAP1 Antibody Blocking Peptide Anti-C2orf43/LDAH Antibody (Clone#OTI2G9)
NPL Antibody Blocking Peptide Anti-TCTN2 Antibody (Clone#OTI1C1)
COX7A2L Antibody Blocking Peptide Anti-GABRA5 Antibody (Clone#OTI1G9)
TRAF4AF1 Antibody Blocking Peptide Anti-GM130/GOLGA2 Antibody (Clone#6D4)
注意事项:
α-香树脂醇乙酸酯863-76-3①加入试剂的顺序应一致,以保证所有反应板孔温育的时间一样。
②使用干净的塑料容器配置洗涤液‘’
③按照鸡血红蛋白(HB)ELISA检测试剂盒说明书中标明的时间、加液的量及顺序进行温育操作。
④底物A应挥发,避免长时间打开盖子。底物B对光敏感,避免长时间暴露于光下。避免用手接触,有毒。实验完成后应立即读取OD值。
⑤洗涤酶标板时应充分拍干,不要将吸水纸直接放入酶标反应孔中吸水。
⑥使用一次性的吸头以免交叉污染,吸取终止液和底物A、B液时,避免使用带金属部分的加样器 。
⑦实验中不用的板条应立即放回包装袋中,密封保存,以免变质。
⑧试剂应按标签说明书储存,使用前恢复到室温。稀稀过后的标准品应丢弃,不可保存。
⑨不用的其它试剂应包装好或盖好。不同批号的试剂不要混用。
| 产品名称 | 英文名称 | 规格 | 货号 |
| α-香树脂醇乙酸酯863-76-3 | α-Amyrin acetate | 5mg/支 | LZ-BP1113 |
商品介绍:
产品名称:α-香树脂醇乙酸酯
CAS NO:863-76-3
分子式:C32H52O2
分子量:468.75
英文名称:α-Amyrin acetate
规格:5mg/支
分子结构:
纯度:HPLC≥98%
分析方法: HPLC-DAD or/and HPLC-ELSD
鉴定方法: 质谱(Mass), 核磁(NMR)
贮存条件:4℃冷藏、密封、避光
有效期:2年
供货能力:大量现货
关于标准品、对照品的问题:
(一)来源:
叶黄素127-40-2依照有关规定,中国用于药品成品检验的标准品(对照品)来源有:一是中国药品生物制品检定所提供的标准品(对照品);二是其他国家的标准品(对照品);三是省级以上药品检验所标定,并经同级食 品药品监管局批准的标准品(对照品)。
(二)产品仅用于科研有效期和使用说明书:
中国药品生物制品检定所提供的标准品(对照品)大部分均无使用说明书和使用期限,大都沿用新的批号出现、旧的批号自动停止的管理方式。
(三)使用过程:
工作标准品(对照品)虽经有关部门认可,但要求有标化日期、复标日期、贮存条件、使用等相关文件规定,并做好相应记录。
(四)验证问题:
按标准品(对照品)管理要求,使用前应对其进行验证,确认无误后方可使用。
(五)开封问题:
对已开封的标准品(对照品)管理方面的问题应做严格的规定,不应同未开封的标准品(对照品)放在一起继续使用,包装上应做好相关标识,说明是否已开封过、何时开封的,内含多少量等相关信息。
EPHB6 Antibody Blocking Peptide Anti-HLA-DRA Antibody
ILF2 Antibody Blocking Peptide Anti-NFATC2 Antibody
zbtb11/ZNF913 Antibody Blocking Peptide Anti-RPS19 Antibody
TRF41 Antibody Blocking Peptide Anti-CaMKII Alpha/CAMK2A Antibody
EIF4EBP2 Antibody Blocking Peptide Anti-Thyroglobulin/TG Antibody (Clone#20T82)
SIGMAR1 Antibody Blocking Peptide Anti-CXCL11 Antibody (Clone#18C54)
RHBG Antibody Blocking Peptide Anti-PGM2L1 Antibody (Clone#OTI5F5)
CTDSPL2 Antibody Blocking Peptide Anti-PD-1/CD279/PDCD1 Antibody (Clone#OTI4F10)
Beta Amyloid 29-42 Peptide Anti-SYF2 Antibody (Clone#OTI6A5)
ZNF720 Antibody Blocking Peptide Anti-CD154/CD40LG Antibody
HCN2 + HCN4 Antibody Blocking Peptide Anti-RND1 Antibody (Clone#OTI1C3)
ZNF12 Antibody Blocking Peptide Anti-ING2 Antibody (Clone#OTI3B11)
SLC1A1 Antibody Blocking Peptide Anti-DECR1 Antibody (Clone#OTI5D6)
AKAP1 Antibody Blocking Peptide Anti-C2orf43/LDAH Antibody (Clone#OTI2G9)
NPL Antibody Blocking Peptide Anti-TCTN2 Antibody (Clone#OTI1C1)
COX7A2L Antibody Blocking Peptide Anti-GABRA5 Antibody (Clone#OTI1G9)
TRAF4AF1 Antibody Blocking Peptide Anti-GM130/GOLGA2 Antibody (Clone#6D4)
注意事项:
α-香树脂醇乙酸酯863-76-3①加入试剂的顺序应一致,以保证所有反应板孔温育的时间一样。
②使用干净的塑料容器配置洗涤液‘’
③按照鸡血红蛋白(HB)ELISA检测试剂盒说明书中标明的时间、加液的量及顺序进行温育操作。
④底物A应挥发,避免长时间打开盖子。底物B对光敏感,避免长时间暴露于光下。避免用手接触,有毒。实验完成后应立即读取OD值。
⑤洗涤酶标板时应充分拍干,不要将吸水纸直接放入酶标反应孔中吸水。
⑥使用一次性的吸头以免交叉污染,吸取终止液和底物A、B液时,避免使用带金属部分的加样器 。
⑦实验中不用的板条应立即放回包装袋中,密封保存,以免变质。
⑧试剂应按标签说明书储存,使用前恢复到室温。稀稀过后的标准品应丢弃,不可保存。
⑨不用的其它试剂应包装好或盖好。不同批号的试剂不要混用。
风险提示:丁香通仅作为第三方平台,为商家信息发布提供平台空间。用户咨询产品时请注意保护个人信息及财产安全,合理判断,谨慎选购商品,商家和用户对交易行为负责。对于医疗器械类产品,请先查证核实企业经营资质和医疗器械产品注册证情况。
技术资料暂无技术资料 索取技术资料
α-香树脂醇乙酸酯863-76-3
¥500 - 3800









