相关产品推荐更多 >
万千商家帮你免费找货
0 人在求购买到急需产品
- 详细信息
- 技术资料
- 库存:
50
- 英文名:
Arjunglucoside II
- CAS号:
62369-72-6
- 保质期:
2年
- 供应商:
上海联祖
- 保存条件:
4℃冷藏、密封、避光
- 规格:
5mg/支
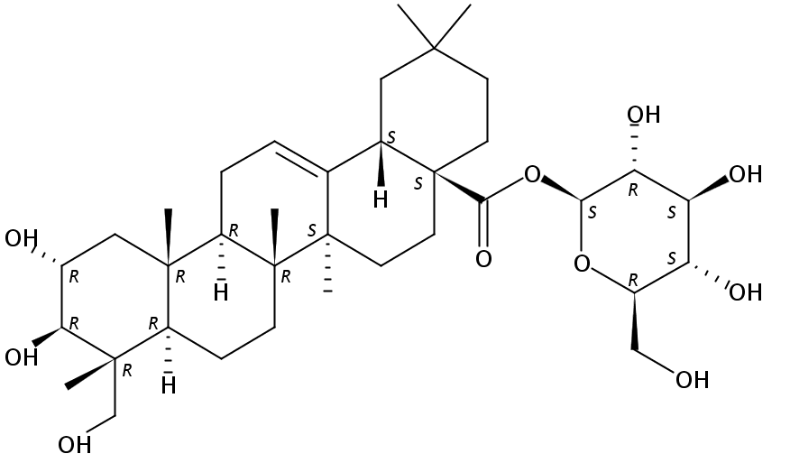
Arjunglucoside II62369-72-6
| 产品中文名称 | Arjunglucoside II | 英文名 | Arjunglucoside II |
| CAS登录号 | 62369-72-6 | 货号 | LZ-BP1012 |
| 分子式 | C36 H58 O10 | 纯度 | HPLC≥98% |
| 分子量 | 650.84 | 分析方法 | HPLC-DAD or/and HPLC-ELSD |
| 鉴定方法 | Mass, NMR | 规格 | 5mg/支 |
纯度:HPLC≥98%
分析方法: HPLC-DAD or/and HPLC-ELSD
鉴定方法: 质谱(Mass), 核磁(NMR)
贮存条件:4℃冷藏、密封、避光
有效期:2年
供货能力:大量现货
(一)来源:
依照有关规定,中国用于药品成品检验的标准品(对照品)来源有:一是中国药品生物制品检定所提供的标准品(对照品);二是其他国家的标准品(对照品);三是省级以上药品检验所标定,并经同级食 品药品监管局批准的标准品(对照品)。
(二)有效期和使用说明书:
中国药品生物制品检定所提供的标准品(对照品)大部分均无使用说明书和使用期限,大都沿用新的批号出现、旧的批号自动停止的管理方式。
(三)使用过程:
工作标准品(对照品)虽经有关部门认可,但要求有标化日期、复标日期、贮存条件、使用等相关文件规定,并做好相应记录。
(四)验证问题:
按标准品(对照品)管理要求,使用前应对其进行验证,确认无误后方可使用。
(五)开封问题:
对已开封的标准品(对照品)管理方面的问题应做严格的规定,不应同未开封的标准品(对照品)放在一起继续使用,包装上应做好相关标识,说明是否已开封过、何时开封的,内含量等相关信息。
NOTCH2 Antibody Blocking Peptide Free-T3 ELISA Kit
ERBB4 Antibody Blocking Peptide Free Tri-iodothyronine Indes,Free-T3 ELISA Kit
PHKG2 Antibody Blocking Peptide Free Thyroxine,FT4 ELISA Kit
HMCES Antibody Blocking Peptide Free Testoterone,F-TESTO ELISA Kit
PRKR Antibody Blocking Peptide Free Protein S,FP-S ELISA Kit
CD28 Antibody Blocking Peptide Free Prostate Specific Antigen,fPSA ELISA Kit
ZGPAT Antibody Blocking Peptide free haemoglobin,f-Hb ELISA Kit
NDUFB9 Antibody Blocking Peptide free fatty acids,FFA ELISA Kit
HIV gp41 Antibody Blocking Peptide Free Fatty Acid Receptor 1(FFAR1)ELISA Kit
FMN1 Antibody Blocking Peptide free Estriol,FE3 ELISA KIT
SAPS1 Antibody Blocking Peptide Free erythrocyte proloporphyrin,FEP ELISA Kit
RGS22 Antibody Blocking Peptide free chorionic gonadotropin,f-βhCG ELISA Kit
Zona pellucida glycoprotein 3 Antibody Blocking Peptide Free Carnitine ELISA kit
NOM1 Antibody Blocking Peptide Frataxin(FXN)ELISA Kit
EKLF/KLF1, 2, 4 Antibody Blocking Peptide Fragile X Mental Retardation 1(FMR1)ELISA Kit
Arjunglucoside II62369-72-6对照品系指用于鉴别、检查、含量测定和校正检定仪器性能的标准物质.
标准品系指用于生物检定、抗生素或生物药品中含量或效价测定的标准物质,以效价单位(U)表示。
对照品系指用于生物制品理化等方面测定的特定物质,由 单位采用与制品 工艺相同的方法制备。对照品应尽可能与制品原液配方一致,稳定性较差的,可加不含对测定有干扰物质的适宜的稳定剂。对照品由国家药品检定机构审查认可,其标准应不低于制品的质量标准。
标准品:是指用于鉴别、检查、含量测定的标准物质,均由国务院药品监督管理部门指定的单位制备、标定和供应。标准品系指用于生物测定、抗生素或生化药品中含量或效价测定的标准物质,一国际标准品进行标定;对照品出另有规定外,按干燥进行计算后使用。
风险提示:丁香通仅作为第三方平台,为商家信息发布提供平台空间。用户咨询产品时请注意保护个人信息及财产安全,合理判断,谨慎选购商品,商家和用户对交易行为负责。对于医疗器械类产品,请先查证核实企业经营资质和医疗器械产品注册证情况。
技术资料暂无技术资料 索取技术资料
Arjunglucoside II62369-72-6
¥500 - 3800









