相关产品推荐更多 >
万千商家帮你免费找货
0 人在求购买到急需产品
- 详细信息
- 文献和实验
- 技术资料
- 库存:
53
- 英文名:
Isoverticine
- CAS号:
23496-43-7
- 保质期:
2年
- 供应商:
上海联祖
- 保存条件:
4℃冷藏、密封、避光
- 规格:
10mg/支
| 产品名称 | 英文名称 | 规格 | 货号 |
| 异浙贝甲素23496-43-7 | Isoverticine | 10mg/支 | LZ-BP0945 |
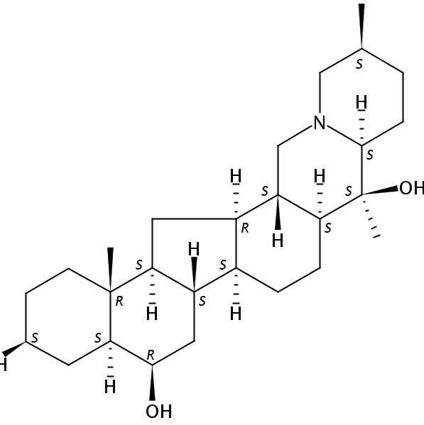
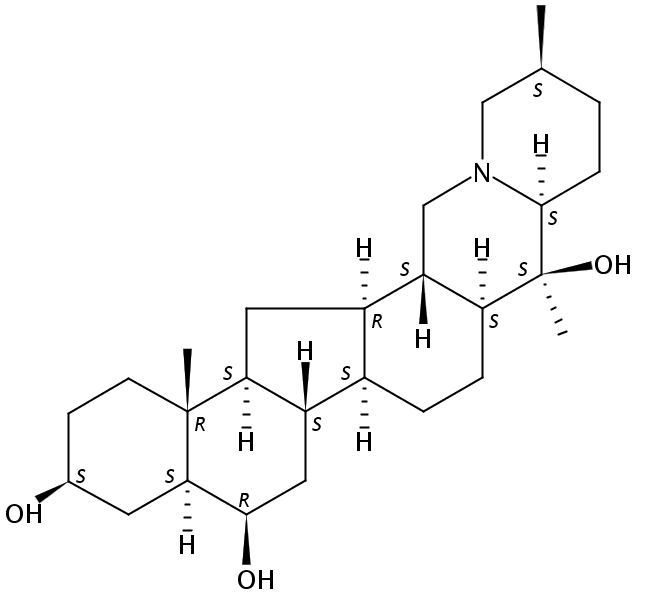
商品介绍:
产品名称:异浙贝甲素
CAS NO:23496-43-7
分子式:C27 H45 N O3
分子量:431.65
英文名称:Isoverticine
规格:10mg/支
分子结构:
纯度:HPLC≥98%
分析方法: HPLC-DAD or/and HPLC-ELSD
鉴定方法: 质谱(Mass), 核磁(NMR)
贮存条件:4℃冷藏、密封、避光
有效期:2年
供货能力:大量现货
关于标准品、对照品的问题:
(一)来源:
叶黄素127-40-2依照有关规定,中国用于药品成品检验的标准品(对照品)来源有:一是中国药品生物制品检定所提供的标准品(对照品);二是其他国家的标准品(对照品);三是省级以上药品检验所标定,并经同级食 品药品监管局批准的标准品(对照品)。
(二)产品仅用于科研有效期和使用说明书:
中国药品生物制品检定所提供的标准品(对照品)大部分均无使用说明书和使用期限,大都沿用新的批号出现、旧的批号自动停止的管理方式。
(三)使用过程:
工作标准品(对照品)虽经有关部门认可,但要求有标化日期、复标日期、贮存条件、使用等相关文件规定,并做好相应记录。
(四)验证问题:
按标准品(对照品)管理要求,使用前应对其进行验证,确认无误后方可使用。
(五)开封问题:
对已开封的标准品(对照品)管理方面的问题应做严格的规定,不应同未开封的标准品(对照品)放在一起继续使用,包装上应做好相关标识,说明是否已开封过、何时开封的,内含多少量等相关信息。
TAS2R60 Antibody Blocking Peptide Coronin 1C(CORO1C)ELISA Kit
phospho-ANTXR1 (Tyr382) Antibody Blocking Peptide Coronin 1B(CORO1B)ELISA Kit
Recombinant 1 N protein / HRP Coronin 1A(CORO1A)ELISA Kit
CCL6 Antibody Blocking Peptide Coronaviruses IgG ELISA Kit
SLC26A3 Antibody Blocking Peptide Cornulin(CRNN)ELISA Kit
FCGBP Antibody Blocking Peptide Cornifelin(CNFN)ELISA Kit
MED6 Antibody Blocking Peptide Corneodesmosin(CDSN)ELISA Kit
IZUMO1 Antibody Blocking Peptide Corin(CRN)ELISA Kit
TOM20 Antibody Blocking Peptide Corin ELISA Kit
SZRD1 Antibody Blocking Peptide COPS2 ELISA Kit
EBP1 Antibody Blocking Peptide Coproporphyrinogen Oxidase(CPOX)ELISA Kit
ABCA7 Antibody Blocking Peptide Copper Transporter 2(COPT2)ELISA Kit
COMMD7 Antibody Blocking Peptide Copper Transporter 1(COPT1)ELISA Kit
phospho-PRKAA2 (Thr172) Antibody Blocking Peptide Copine VIII(CPNE8)ELISA Kit
NIPAL2 Antibody Blocking Peptide Copine VII(CPNE7)ELISA Kit
注意事项:
异浙贝甲素23496-43-7①加入试剂的顺序应一致,以保证所有反应板孔温育的时间一样。
②使用干净的塑料容器配置洗涤液‘’
③按照鸡血红蛋白(HB)ELISA检测试剂盒说明书中标明的时间、加液的量及顺序进行温育操作。
④底物A应挥发,避免长时间打开盖子。底物B对光敏感,避免长时间暴露于光下。避免用手接触,有毒。实验完成后应立即读取OD值。
⑤洗涤酶标板时应充分拍干,不要将吸水纸直接放入酶标反应孔中吸水。
⑥使用一次性的吸头以免交叉污染,吸取终止液和底物A、B液时,避免使用带金属部分的加样器 。
⑦实验中不用的板条应立即放回包装袋中,密封保存,以免变质。
⑧试剂应按标签说明书储存,使用前恢复到室温。稀稀过后的标准品应丢弃,不可保存。
⑨不用的其它试剂应包装好或盖好。不同批号的试剂不要混用。
风险提示:丁香通仅作为第三方平台,为商家信息发布提供平台空间。用户咨询产品时请注意保护个人信息及财产安全,合理判断,谨慎选购商品,商家和用户对交易行为负责。对于医疗器械类产品,请先查证核实企业经营资质和医疗器械产品注册证情况。
文献和实验指位于横纹肌(骨骼肌和心肌)的肌原纤维的肌节中央发暗部分。由于其表现出双折光性(异向性 anisotropism),故称 A带。为恩格尔曼( W. T. Enge-lmann, 1873)所命名。在 A带的中央有稍稍发亮的部分称 H带,在 H带的中央有黑线称 M线。 A带是由肌球蛋白的复合体即 A丝和进入 H带的Ⅰ丝产生的,因而 H带的带幅可以随收缩的程度而变化,但 A带的带幅则是有一定的,脊椎动物为 1.5微米。在 A带的两端可看到 43毫微米周期的横纹,但其大部
网络 第十节 蜚蠊 蜚 蠊俗称蟑 螂,属蜚蠊目(Blattaria),全世界约有4000种,我国记录有168种。 形态 蜚蠊成虫椭圆形,背腹扁平,体长者可达100mm,小者仅2mm,一般为10~30mm,体呈黄褐色或深褐色,因种而异,体表具油亮光泽。 头部:小且向下弯曲,活动自如,Y字形头盖缝明显,大部分为前胸覆盖。复眼大,围绕
微生物是地球上最早的“居民”。假如把地球演化到今天的历史浓缩到一天,地球诞生是24小时中的零点,那么,地球的首批居民——厌氧性异养细菌在早晨7点钟降生;午后13点左右,出现了好氧性异养细菌;鱼和陆生植物产生于晚上22点;而人类要在这一天的最后一分钟才出现。 微生物所以能在地球上最早出现,又延续至今,这与它们特有的食量大、食谱广、繁殖快和抗性高等有关。 个儿越小,“胃口”越大,这是生物界的普遍规律。微生物的结构非常简单,一个细胞或是分化成简单的一群细胞
技术资料暂无技术资料 索取技术资料










