相关产品推荐更多 >
万千商家帮你免费找货
0 人在求购买到急需产品
- 详细信息
- 文献和实验
- 技术资料
- 库存:
32
- 英文名:
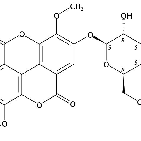
3,3'-Di-O-ellagic acid 4'-glucoside
- CAS号:
51803-68-0
- 保质期:
2年
- 供应商:
上海联祖
- 保存条件:
4℃冷藏、密封、避光
- 规格:
5mg/支
3,3'-二甲基鞣花酸-4'-O-葡萄糖苷51803-68-0
| 产品中文名称 | 3,3'-二甲基鞣花酸-4'-O-葡萄糖苷 | 英文名 | 3,3'-Di-Oellagic acid 4'-glucoside |
| CAS登录号 | 51803-68-0 | 货号 | LZ-BP0924 |
| 分子式 | C22H20O13 | 纯度 | HPLC≥98% |
| 分子量 | 492.39 | 分析方法 | HPLC-DAD or/and HPLC-ELSD |
| 鉴定方法 | Mass, NMR | 规格 | 5mg/支 |
纯度:HPLC≥98%
分析方法: HPLC-DAD or/and HPLC-ELSD
鉴定方法: 质谱(Mass), 核磁(NMR)
贮存条件:4℃冷藏、密封、避光
有效期:2年
供货能力:大量现货
(一)来源:
依照有关规定,中国用于药品成品检验的标准品(对照品)来源有:一是中国药品生物制品检定所提供的标准品(对照品);二是其他国家的标准品(对照品);三是省级以上药品检验所标定,并经同级食 品药品监管局批准的标准品(对照品)。
(二)有效期和使用说明书:
中国药品生物制品检定所提供的标准品(对照品)大部分均无使用说明书和使用期限,大都沿用新的批号出现、旧的批号自动停止的管理方式。
(三)使用过程:
工作标准品(对照品)虽经有关部门认可,但要求有标化日期、复标日期、贮存条件、使用等相关文件规定,并做好相应记录。
(四)验证问题:
按标准品(对照品)管理要求,使用前应对其进行验证,确认无误后方可使用。
(五)开封问题:
对已开封的标准品(对照品)管理方面的问题应做严格的规定,不应同未开封的标准品(对照品)放在一起继续使用,包装上应做好相关标识,说明是否已开封过、何时开封的,内含量等相关信息。
SFRS2B Antibody Blocking Peptide cholecystokinin octapeptide,CCK-8 ELISA Kit
non-muscle Myosin IIA Antibody Blocking Peptide Cholecystokinin B Receptor(CCKBR)ELISA Kit
CD31 Antibody Blocking Peptide Cholecystokinin A Receptor(CCKAR)ELISA Kit
Phospho-CHK2 (Thr26) Antibody Blocking Peptide Cholecystokinin 8, Octapeptide(CCK8)ELISA Kit
IKK alpha Antibody Blocking Peptide Chloride Intracellular Channel Protein 1(CLIC1)ELISA Kit
GPR75 Antibody Blocking Peptide Chloride Channel Accessory 1(CLCA1)ELISA Kit
Histone H1.X Antibody Blocking Peptide chlamydial protease-like activity factor,CPAF ELISA Kit
GSTM4 Antibody Blocking Peptide Chlamydia trachomatis,CT ELISA Kit
NTH1 Antibody Blocking Peptide chlamydia trachomatis,CT ELISA kit
TP73-AS1 Antibody Blocking Peptide chlamydia pneumoniae,Cpn ELISA Kit
GS I-B4 Antibody Blocking Peptide Chlamydia pneumoniae(Cpn)antibody(IgG)ELISA Kit
IFNA10 Antibody Blocking Peptide Chlamydia pneumoniae antibody,Cpn-IgM ELISA Kit
phospho-SYN1 (Ser62+Ser67) Antibody Blocking Peptide Chlamydia pneumoniae antibody,Cpn-Ab ELISA Kit
TRABD Antibody Blocking Peptide Chitinase-3-like Protein 1,YKL-40/CHI3L1 ELISA Kit
phospho-IGF1R (Tyr980) Antibody Blocking Peptide Chitinase, Acidic(CHIA)ELISA Kit
3,3'-二甲基鞣花酸-4'-O-葡萄糖苷51803-68-0对照品系指用于鉴别、检查、含量测定和校正检定仪器性能的标准物质.
标准品系指用于生物检定、抗生素或生物药品中含量或效价测定的标准物质,以效价单位(U)表示。
对照品系指用于生物制品理化等方面测定的特定物质,由 单位采用与制品 工艺相同的方法制备。对照品应尽可能与制品原液配方一致,稳定性较差的,可加不含对测定有干扰物质的适宜的稳定剂。对照品由国家药品检定机构审查认可,其标准应不低于制品的质量标准。
标准品:是指用于鉴别、检查、含量测定的标准物质,均由国务院药品监督管理部门指定的单位制备、标定和供应。标准品系指用于生物测定、抗生素或生化药品中含量或效价测定的标准物质,一国际标准品进行标定;对照品出另有规定外,按干燥进行计算后使用。
风险提示:丁香通仅作为第三方平台,为商家信息发布提供平台空间。用户咨询产品时请注意保护个人信息及财产安全,合理判断,谨慎选购商品,商家和用户对交易行为负责。对于医疗器械类产品,请先查证核实企业经营资质和医疗器械产品注册证情况。
文献和实验三句话读懂一篇 CNS:百岁老人的长寿秘诀;雄性激素越高越有
菌群,产生独特的胆汁酸,可能通过抑制肠道病原体生长而促进长寿,提出了控制胆汁酸库可能对延年益寿有益处!图 1:来源站酷海洛2. Nature genetics: 解析组蛋白 H3.3-K27M 致瘤活性的分子机制弥漫性中线胶质瘤(Diffuse midline gliomas,DMGs)是致死力极强的儿童脑肿瘤。2021 年 7 月 26 日,爱尔兰达柏林三一学院 Adrian P. Bracken 研究组联合英国爱丁堡大学 Steven M. Pollard 研究组在 Nature genetics
刷新认知!Nature Genetics 报道血型是如何决定肠道微生物组成的
菌群的影响 与 O 型或 FUT2 非分泌型个体相比,拟杆菌 OTU97_27 在非 O 血型(A, B 或 AB)或 FUT2 分泌型的个体中表现出更高的患病率。 为了进一步评估 ABO 血型与微生物特征之间的关系,研究人员探究了 ABO 血型和 FUT2 分泌与微生物特征之间的关联。结果显示,在五个人群队列的四个中,非 O 血型(A, B 或 AB)和 FUT2 分泌与 OTU97_27 细菌的患病率呈正相关。值得注意的是,以 OTU97_12、OTU99_12 和 TestASV_13 为代表
kinases activate the serine/threonine kinases M n k l and M n k 2 . EMBO J. 16, 1909-1920. 13. Fujita, H., Fujita, H., Takemura, M., et al. (2003) A n ArabidopsisM A D S - b o x protein, A G L 2 4 , is specifically bound to and phosphorylated
技术资料暂无技术资料 索取技术资料









