相关产品推荐更多 >
万千商家帮你免费找货
0 人在求购买到急需产品
- 详细信息
- 文献和实验
- 技术资料
- 库存:
33
- 英文名:
Kuwanon W
- CAS号:
95518-95-9
- 供应商:
上海联祖
- 保存条件:
-20度冻存
- 规格:
5mg/支
商品属性:
| 产品名称 | 英文名称 | 规格 | 货号 |
| Kuwanon W95518-95-9 | Kuwanon W | 5mg/支 | LZ-BP0713 |
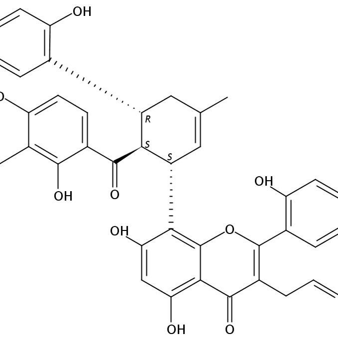
产品名称:Kuwanon W
英文名称:Kuwanon W
CAS登录号: 95518-95-9
分子式:C45H42O11
分子量:758.81
分子结构:
规格:5mg/支
纯度:HPLC≥98%
分析方法: HPLC-DAD or/and HPLC-ELSD
鉴定方法: 质谱(Mass), 核磁(NMR)
贮存条件:4℃冷藏、密封、避光
有效期:2年
供货能力:大量现货
Bouin固着液 GGPS1 Antibody (Clone#OTI3F9)
Susa 固着液 YWHAZ Antibody (Clone#6G5)
Acetic alcohol固着液 TPRKB Antibody (Clone#OTI3H3)
Hollande固着液 Progranulin/GRN Antibody (Clone#OTI4B9)
Formol sublimate固着液 C12orf26/METTL25 Antibody (Clone#OTI2B6)
Zinc固着液 GBA3 Antibody (Clone#OTI3E8)
Carnoy固着液 Calpain 1/CAPN1 Antibody (Clone#2E3)
2%固着液(Glutaraldehyde) Raptor/RPTOR Antibody
4%中性多甲醛固着液 PFAAP5/N4BP2L2 Antibody (Clone#OTI1E2)
4%多聚固着液 RAB17 Antibody (Clone#OTI5E2)
乙醇福尔马林固着液(Formalin-Alcoholic) BAG2 Antibody (Clone#8F11G2)
酸性福尔马林固着液(Formalin-Acetic Acid) PSMA5 Antibody (Clone#426CT32.1.2)
20%中性Formalin固着液 XRCC1 Antibody
10%中性Formalin固着液 LDLR Antibody (Clone#OTI4E9)
注意事项:
Kuwanon W95518-95-9①加入试剂的顺序应一致,以保证所有反应板孔温育的时间一样。
②使用干净的塑料容器配置洗涤液‘’
③按照鸡血红蛋白(HB)ELISA检测试剂盒说明书中标明的时间、加液的量及顺序进行温育操作。
④底物A应挥发,避免长时间打开盖子。底物B对光敏感,避免长时间暴露于光下。避免用手接触,有毒。实验完成后应立即读取OD值。
⑤洗涤酶标板时应充分拍干,不要将吸水纸直接放入酶标反应孔中吸水。
⑥使用一次性的吸头以免交叉污染,吸取终止液和底物A、B液时,避免使用带金属部分的加样器 。
⑦实验中不用的板条应立即放回包装袋中,密封保存,以免变质。
⑧试剂应按标签说明书储存,使用前恢复到室温。稀稀过后的标准品应丢弃,不可保存。
⑨不用的其它试剂应包装好或盖好。不同批号的试剂不要混用。
风险提示:丁香通仅作为第三方平台,为商家信息发布提供平台空间。用户咨询产品时请注意保护个人信息及财产安全,合理判断,谨慎选购商品,商家和用户对交易行为负责。对于医疗器械类产品,请先查证核实企业经营资质和医疗器械产品注册证情况。
文献和实验3), 10% 胎牛血清。传代:吸去培养液。 用 0.25% (w/v) Trypsin- 0.53 mM EDTA 洗一次,以去除血清(血清会抑制胰酶的活性)。加 2 - 3 毫升 Trypsin-EDTA,放在 37℃ 培养箱内约 5 分钟,直到细胞全部脱落。加 6 - 8 毫升培养液,用移液器把细胞吹散。加适量的细胞到新的培养器皿中。(以 1:4 到 1:8 为宜,传代期间培养液更换 1 - 2 次)冻存:95% 培养液 + 5% DMSO 冻存于液氮。2. 293 细胞293 细胞比较容易转染
Crystallization of Kinesin Family Motor Proteins
parameters.Crystals of monomeric rat Kinesin-1Table 1: Crystallization conditions for kinesin motor protein constructsConstructMethodConditionsReferencesHuman Kinesin-1 hK349Sitting drop 4°C5 mg/ml protein in 50 mM Na-acetate, pH 4.6, 75 mM KCl, 3.5% (w/v
Replication timing by comparative hybridization
Replication timing by comparative hybridization M. K. Raghuraman Reference: Friedman, K. L., M. K. Raghuraman, W. L. Fangman, and B. J. Brewer (1995) Analysis of the temporal program of replication initiation
技术资料暂无技术资料 索取技术资料










