相关产品推荐更多 >
万千商家帮你免费找货
0 人在求购买到急需产品
- 详细信息
- 文献和实验
- 技术资料
- 库存:
32
- 英文名:
21-O-2S-Methbutyroylgymnemagenin
- CAS号:
1581276-60-9
- 保质期:
2年
- 供应商:
上海联祖
- 保存条件:
4℃冷藏、密封、避光
- 规格:
5mg/支
商品属性:
| 产品名称 | 英文名称 | 规格 | 货号 |
| 21-O-2S-甲基丁酰基匙羹藤新苷元1581276-60-9 | 21-O-2S-Methbutyroylgymnemagenin | 5mg/支 | LZ-BP0292 |
商品介绍:
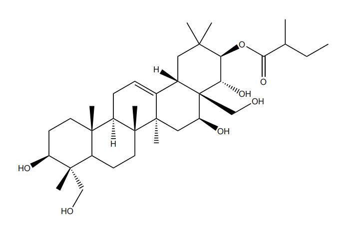
产品名称:21-O-2S-甲基丁酰基匙羹藤新苷元
英文名称:21-O-2S-Methbutyroylgymnemagenin
CAS登录号: 1581276-60-9
分子式:C35H58O7
分子量:590.83
分子结构:
规格:5mg/支
纯度:HPLC≥98%
分析方法: HPLC-DAD or/and HPLC-ELSD
鉴定方法: 质谱(Mass), 核磁(NMR)
贮存条件:4℃冷藏、密封、避光
有效期:2年
供货能力:大量现货
关于标准品、对照品的问题:
(一)来源:
叶黄素127-40-2依照有关规定,中国用于药品成品检验的标准品(对照品)来源有:一是中国药品生物制品检定所提供的标准品(对照品);二是其他国家的标准品(对照品);三是省级以上药品检验所标定,并经同级食 品药品监管局批准的标准品(对照品)。
(二)产品仅用于科研有效期和使用说明书:
中国药品生物制品检定所提供的标准品(对照品)大部分均无使用说明书和使用期限,大都沿用新的批号出现、旧的批号自动停止的管理方式。
(三)使用过程:
工作标准品(对照品)虽经有关部门认可,但要求有标化日期、复标日期、贮存条件、使用等相关文件规定,并做好相应记录。
(四)验证问题:
按标准品(对照品)管理要求,使用前应对其进行验证,确认无误后方可使用。
(五)开封问题:
对已开封的标准品(对照品)管理方面的问题应做严格的规定,不应同未开封的标准品(对照品)放在一起继续使用,包装上应做好相关标识,说明是否已开封过、何时开封的,内含多少量等相关信息。
注意事项:
①加入试剂的顺序应一致,以保证所有反应板孔温育的时间一样。
②使用干净的塑料容器配置洗涤液。
③按照鸡血红蛋白(HB)ELISA检测试剂盒说明书中标明的时间、加液的量及顺序进行温育操作。
④底物A应挥发,避免长时间打开盖子。底物B对光敏感,避免长时间暴露于光下。避免用手接触,有毒。实验完成后应立即读取OD值。
⑤洗涤酶标板时应充分拍干,不要将吸水纸直接放入酶标反应孔中吸水。
⑥使用一次性的吸头以免交叉污染,吸取终止液和底物A、B液时,避免使用带金属部分的加样器 。
⑦实验中不用的板条应立即放回包装袋中,密封保存,以免变质。
⑧21-O-2S-甲基丁酰基匙羹藤新苷元1581276-60-9试剂应按标签说明书储存,使用前恢复到室温。稀稀过后的标准品应丢弃,不可保存。
⑨不用的其它试剂应包装好或盖好。不同批号的试剂不要混用。
公司正在出售的产品:
RIMS3 Antibody Blocking Peptide Monocyte To Macrophage Differentiation Associated Protein(MMA)ELISA Kit
CTDSP1 Antibody Blocking Peptide Capping Protein Muscle Z Line Beta(CAPZb)ELISA Kit
C9orf68 Antibody Blocking Peptide Zonadhesin(ZAN)ELISA Kit
SLC16A8 Antibody Blocking Peptide Glutamate Receptor, Metabotropic 3(GRM3)ELISA Kit
phospho-DAP Kinase 1 (Ser308) Antibody Blocking Peptide Large Neutral Amino Acid Transporter 1(LAT1)ELISA Kit
SUHW1/ZNF280 Antibody Blocking Peptide Large Multifunctional Peptidase 7(LMP7)ELISA Kit
PRRT2 Antibody Blocking Peptide Cannabinoid Receptor 1, Brain(CNR1)ELISA Kit
IFNGR1 Antibody Blocking Peptide Survivin(Surv)ELISA Kit
LC12A8 Antibody Blocking Peptide Fragile X Mental Retardation 1(FMR1)ELISA Kit
phospho-REC8 (Ser251) Antibody Blocking Peptide Prolactin Receptor(PRLR)ELISA Kit
Enkephalin/P-ENK Antibody Blocking Peptide Clusterin(CLU)ELISA Kit
Ube2B Antibody Blocking Peptide Secretin Receptor(SCTR)ELISA Kit
ATOH1 Antibody Blocking Peptide Secretin(SCT)ELISA Kit
SCP2 Antibody Blocking Peptide Tubulin Polymerization Promoting Protein(TPPP)ELISA Kit
ZFPL1 Antibody Blocking Peptide Corticotropin Releasing Hormone Binding Protein(CRHBP)ELISA Kit
COL25A1 Antibody Blocking Peptide Corticotropin Like Intermediate Lobe Peptide(CLIP)ELISA Kit
风险提示:丁香通仅作为第三方平台,为商家信息发布提供平台空间。用户咨询产品时请注意保护个人信息及财产安全,合理判断,谨慎选购商品,商家和用户对交易行为负责。对于医疗器械类产品,请先查证核实企业经营资质和医疗器械产品注册证情况。
文献和实验摘要: DNA甲基化是表观遗传学(Epigenetics)的重要组成部分,在维持正常细胞功能、遗传印记、胚胎发育以及人类肿瘤发生中起着重要作用,是目前新的研究热点之一。随着对甲基化研究的不断深入,各种各样甲基化检测方法被开发出来以满足不同类型研究的要求。这些方法概括起来可分为三类:基因组整体水平的甲基化检测、基因特异位点甲基化的检测和新甲基化位点的寻找。本篇将主要介绍目前存在的大部分DNA甲基化研究方法,并对其相关特性进行了简要分析与总结。关键词:表观遗传学;DNA甲基化;甲基化研究方法早在
摘要: DNA 甲基化是表观遗传学(Epigenetics)的重要组成部分,在维持正常细胞功能、遗传印记、胚胎发育以及人类肿瘤发生中起着重要作用,是目前新的研究热点之一。随着对甲基化研究的不断深入,各种各样甲基化检测方法被开发出来以满足不同类型研究的要求。这些方法概括起来可分为三类:整体水平的甲基化检测、基因特异位点甲基化的检测和新甲基化位点的寻找。本篇将主要介绍目前存在的大部分DNA 甲基化研究方法,并对其相关特性进行了简要分析与总结。关键词 :表观遗传学;DNA 甲基化;甲基化研究方法早在
16.丝状 17.卷发状 18.丝线状 19.刺毛状 20.串珠状 21.疏展状 22.树根状 23.假根状 24.丝状 25.串珠状 26.乳头状 27.绒毛状 28.树根状 29.量杯状 30.萝卜状 31.漏斗状 32.囊状 33.层状 34.絮状 35.环状 36.蹼状 37.膜状2)霉菌酵母菌的培养特征:大多数酵母菌没有丝状体,在固体培养基上形成的菌落和细菌的很相似,只是比细菌菌落大且厚。液体培养也和细菌相似,有均匀生长、沉淀或在液面形成菌膜。霉菌有分支的丝状体,菌丝粗长,在条件适宜
技术资料暂无技术资料 索取技术资料









