相关产品推荐更多 >
万千商家帮你免费找货
0 人在求购买到急需产品
- 详细信息
- 文献和实验
- 技术资料
- 库存:
25
- 英文名:
Leocarpinolide F
- CAS号:
145042-08-6
- 保质期:
2年
- 供应商:
上海联祖
- 保存条件:
4℃冷藏、密封、避光
- 规格:
5mg/支
| 产品名称 | 英文名称 | 规格 | 货号 |
| Leocarpinolide F145042-08-6 | Leocarpinolide F | 5mg/支 | LZ-BP0145 |
商品介绍:
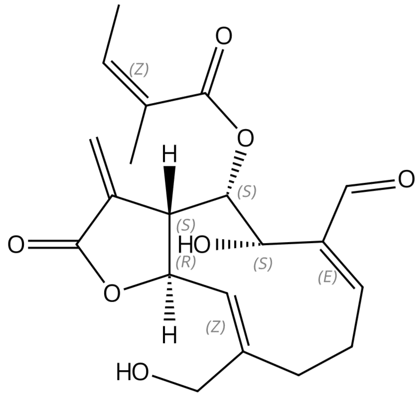
产品名称:Leocarpinolide F
英文名称:Leocarpinolide F
CAS登录号: 145042-08-6
分子式:C20H24O7
分子量:376.4
分子结构:
结构类型 倍半萜类
规格:5mg/支
纯度:HPLC≥98%
分析方法: HPLC-DAD or/and HPLC-ELSD
鉴定方法: 质谱(Mass), 核磁(NMR)
贮存条件:4℃冷藏、密封、避光
有效期:2年
供货能力:大量现货
关于标准品、对照品的问题:
(一)来源:
叶黄素127-40-2依照有关规定,中国用于药品成品检验的标准品(对照品)来源有:一是中国药品生物制品检定所提供的标准品(对照品);二是其他国家的标准品(对照品);三是省级以上药品检验所标定,并经同级食 品药品监管局批准的标准品(对照品)。
(二)产品仅用于科研有效期和使用说明书:
中国药品生物制品检定所提供的标准品(对照品)大部分均无使用说明书和使用期限,大都沿用新的批号出现、旧的批号自动停止的管理方式。
(三)使用过程:
工作标准品(对照品)虽经有关部门认可,但要求有标化日期、复标日期、贮存条件、使用等相关文件规定,并做好相应记录。
(四)验证问题:
按标准品(对照品)管理要求,使用前应对其进行验证,确认无误后方可使用。
(五)开封问题:
对已开封的标准品(对照品)管理方面的问题应做严格的规定,不应同未开封的标准品(对照品)放在一起继续使用,包装上应做好相关标识,说明是否已开封过、何时开封的,内含多少量等相关信息。
Saccharopine Dehydrogenase(SCCPDH)ELISA Kit GNPTG Antibody Blocking Peptide
Caveolin 3(CAV3)ELISA Kit CD163 Antibody Blocking Peptide
Caveolin 2(CAV2)ELISA Kit ASIC4 Antibody Blocking Peptide
Transglutaminase 1, Keratinocyte(TGM1)ELISA Kit RBFOX1 Antibody Blocking Peptide
Squalene Epoxidase(SQLE)ELISA Kit SEC24C Antibody Blocking Peptide
Keratocan(KERA)ELISA Kit Tollip Antibody Blocking Peptide
Corneodesmosin(CDSN)ELISA Kit MyoD1/Myf3 Antibody Blocking Peptide
Cornifelin(CNFN)ELISA Kit DNAJC14 Antibody Blocking Peptide
Dyskerin(DKC)ELISA Kit SPEF1 Antibody Blocking Peptide
Keratin 9(KRT9)ELISA Kit MFSD8 Antibody Blocking Peptide
Keratin 81(KRT81)ELISA Kit Nanog Antibody Blocking Peptide
Keratin 8(KRT8)ELISA Kit RHD Antibody Blocking Peptide
Keratin 7(KRT7)ELISA Kit CTRP3 Antibody Blocking Peptide
注意事项:
Leocarpinolide F145042-08-6①加入试剂的顺序应一致,以保证所有反应板孔温育的时间一样。
②使用干净的塑料容器配置洗涤液。
③按照鸡血红蛋白(HB)ELISA检测试剂盒说明书中标明的时间、加液的量及顺序进行温育操作。
④底物A应挥发,避免长时间打开盖子。底物B对光敏感,避免长时间暴露于光下。避免用手接触,有毒。实验完成后应立即读取OD值。
⑤洗涤酶标板时应充分拍干,不要将吸水纸直接放入酶标反应孔中吸水。
⑥使用一次性的吸头以免交叉污染,吸取终止液和底物A、B液时,避免使用带金属部分的加样器 。
⑦实验中不用的板条应立即放回包装袋中,密封保存,以免变质。
⑧试剂应按标签说明书储存,使用前恢复到室温。稀稀过后的标准品应丢弃,不可保存。
⑨不用的其它试剂应包装好或盖好。不同批号的试剂不要混用。
风险提示:丁香通仅作为第三方平台,为商家信息发布提供平台空间。用户咨询产品时请注意保护个人信息及财产安全,合理判断,谨慎选购商品,商家和用户对交易行为负责。对于医疗器械类产品,请先查证核实企业经营资质和医疗器械产品注册证情况。
文献和实验-1&_user=10&_rdoc=1&_fmt=&_orig=search&_sort=d&_docanchor=&view=c&_searchStrId=1043936873&_rerunOrigin=google&_acct=C000050221&_version=1&_urlVersion=0&_userid=10&md5=c02b85af414e0f9ea2042b3757912f85 http://ccsb.dfci.harvard.edu/web/export/sites
去抄两个数。分别以8,7除之,余数即指要调入乙组的第几个甲,余此类推。最后各组的鼠数就相等了。调整后各组鼠的编号为: 组别鼠的编号 甲组3 4 5 7 8 12 乙组1 2 6 9 10 11 (二)当分为三组时 例:设有雄性的SD大鼠12只,按体重大小依次编为1,2,3,…,12号,试用完全随机的方法,分为A、B、C三组。 分组方法:假设所定的点是随机数字表第40行17列的08,则从08开始,自左到右抄12个随机
日本TONE前田套筒3TXT09H-T55H/TX3030/TX3050
800M/800/170M/550/4108/MX400/L410/230M/210M/200MISO/200M/200MS/200/250MISO/250M/240M/146/2S03-14/2SB04-18/2S03L-14L/HS212/HSB211/HSL212/3S5.5-24/3D08-24/F3S5.5-12/F3D13-22/3SB08-12/3DB14-30/HFS310-312/SH206-412/3E5.5-13/F3S08L-17L/3S5.5L-24L/3D10L-24L/
技术资料暂无技术资料 索取技术资料










