相关产品推荐更多 >
万千商家帮你免费找货
0 人在求购买到急需产品
- 详细信息
- 技术资料
- 库存:
33
- 英文名:
3'-Methoxy apiin
- CAS号:
33579-63-4
- 保质期:
2年
- 供应商:
上海联祖
- 保存条件:
4℃冷藏、密封、避光
- 规格:
20mg/支

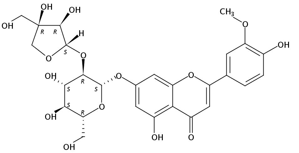
3’-甲氧基芹菜苷33579-63-4
| 产品中文名称 | 3’-甲氧基芹菜苷 | 英文名 | 3'-Methoxy apiin |
| CAS登录号 | 33579-63-4 | 货号 | LZ-BP0086 |
| 分子式 | C27H30O15 | 纯度 | HPLC≥98% |
| 分子量 | 594.52 | 分析方法 | HPLC-DAD or/and HPLC-ELSD |
| 鉴定方法 | Mass NMR | 规格 | 20mg/支 |
贮存条件:4℃冷藏、密封、避光
有效期:2年
供货能力:大量现货
用途: 用于含量测定/鉴定/药理实验等
(一)来源:
依照有关规定,中国用于药品成品检验的标准品(对照品)来源有:一是中国药品生物制品检定所提供的标准品(对照品);二是其他国家的标准品(对照品);三是省级以上药品检验所标定,并经同级食 品药品监管局批准的标准品(对照品)。
(二)有效期和使用说明书:
中国药品生物制品检定所提供的标准品(对照品)大部分均无使用说明书和使用期限,大都沿用新的批号出现、旧的批号自动停止的管理方式。
(三)使用过程:
工作标准品(对照品)虽经有关部门认可,但要求有标化日期、复标日期、贮存条件、使用等相关文件规定,并做好相应记录。
(四)验证问题:
按标准品(对照品)管理要求,使用前应对其进行验证,确认无误后方可使用。
(五)开封问题:
对已开封的标准品(对照品)管理方面的问题应做严格的规定,不应同未开封的标准品(对照品)放在一起继续使用,包装上应做好相关标识,说明是否已开封过、何时开封的,内含量等相关信息。
Hypoxia Up Regulated 1(HYOU1)ELISA Kit Uricase Antibody Blocking Peptide
Low Density Lipoprotein Receptor Related Protein 6(LRP6)ELISA Kit TPGS1 Antibody Blocking Peptide
Low Density Lipoprotein Receptor Related Protein 4(LRP4)ELISA Kit Phospho-CD19 (Tyr531) Antibody Blocking Peptide
Low Density Lipoprotein Receptor Related Protein 2(LRP2)ELISA Kit HEY2 Antibody Blocking Peptide
Low Density Lipoprotein Receptor Related Protein 1(LRP1)ELISA Kit CD209 Antibody Blocking Peptide
Low Molecular Weight Kininogen(LMWK)ELISA Kit MED31 Antibody Blocking Peptide
Proteasome Subunit Beta Type 6(PSMb6)ELISA Kit SLC30A8 Antibody Blocking Peptide
Proteasome Subunit Alpha Type 1(PSMa1)ELISA Kit DSC1 Antibody Blocking Peptide
Protease Activated Receptor 4(PAR4)ELISA Kit CCR2 Antibody Blocking Peptide
Protease Activated Receptor 3(PAR3)ELISA Kit UBE2J2 Antibody Blocking Peptide
Protease Activated Receptor 2(PAR2)ELISA Kit BCL2L12 Antibody Blocking Peptide
Protease Activated Receptor 1(PAR1)ELISA Kit Protein A / HRP
Protein Phosphatase 1, Regulatory Subunit 1B(PPP1R1B)ELISA Kit DEFA5 Antibody Blocking Peptide
Protein Phosphatase 1, Regulatory Subunit 18(PPP1R18)ELISA Kit SPPL2C Antibody Blocking Peptide
Protein Tyrosine Phosphatase Like Protein A(PTPLA)ELISA Kit CD163 Antibody Blocking Peptide
Protein Tyrosine Phosphatase Receptor Type R(PTPRR)ELISA Kit NOX5 Antibody Blocking Peptide
3’-甲氧基芹菜苷33579-63-4对照品系指用于鉴别、检查、含量测定和校正检定仪器性能的标准物质.
标准品系指用于生物检定、抗生素或生物药品中含量或效价测定的标准物质,以效价单位(U)表示。
对照品系指用于生物制品理化等方面测定的特定物质,由 单位采用与制品 工艺相同的方法制备。对照品应尽可能与制品原液配方一致,稳定性较差的,可加不含对测定有干扰物质的适宜的稳定剂。对照品由国家药品检定机构审查认可,其标准应不低于制品的质量标准。
标准品:是指用于鉴别、检查、含量测定的标准物质,均由国务院药品监督管理部门指定的单位制备、标定和供应。标准品系指用于生物测定、抗生素或生化药品中含量或效价测定的标准物质,一国际标准品进行标定;对照品出另有规定外,按干燥进行计算后使用。
风险提示:丁香通仅作为第三方平台,为商家信息发布提供平台空间。用户咨询产品时请注意保护个人信息及财产安全,合理判断,谨慎选购商品,商家和用户对交易行为负责。对于医疗器械类产品,请先查证核实企业经营资质和医疗器械产品注册证情况。
技术资料暂无技术资料 索取技术资料
3’-甲氧基芹菜苷33579-63-4
¥500 - 3800









