相关产品推荐更多 >
万千商家帮你免费找货
0 人在求购买到急需产品
- 详细信息
- 技术资料
- 库存:
>500
- 英文名:
Characterized FBS, New Zealand
- 保质期:
5年
- 供应商:
上海伟进生物科技有限公司
- 保存条件:
-20℃
采用源自新西兰的 HyClone 优级胎牛血清强化细胞生长。
- 源自新西兰,可完整追溯其原始来源。
- 抗体水平低,生长因子高
- 采用真混合技术生产,确保各瓶之间的统一性和一致性
- 经过三重连续的 100 nm (0.1 μm) 额定孔径过滤器过滤
- 根据 9 CFR 113.53 进行了病毒检测
HyClone 优级胎牛血清 (FBS) — 来源等效性研究
来自美国 (US)、新西兰 (NZ) 和澳大利亚 (AUS) 的胎牛血清 (FBS) 表现出类似的性能和低差异性
胎牛血清 (FBS) 仍然用于许多细胞培养应用,包括病毒载体生产。单一来源的 FBS 可能有限,因此确认其他来源的 FBS 合格性是提高安全供货的一种方法。有鉴于此,我们评价了美国、新西兰和澳大利亚的 HyClone 品牌优级 FBS 的多项性能指标。我们发现,所有测定参数的批内和批间差异均较低,表明我们评价的血清具有等效性。
简介
胎牛血清 (FBS) 在学术界和工业界用作大多数贴壁体外细胞培养应用的培养基补充剂。FBS 包含多种不同细胞和细胞系体外生长所需的蛋白、激素和生长因子的复杂混合物。行业趋势从使用含血清的贴壁细胞转变为使用悬浮适应细胞和化学成分确定的细胞培养基,但许多应用仍然需要血清添加剂。这些应用包括用于基因治疗和疫苗的病毒生产。
早期通常选择产地为新西兰的 FBS,这类血清是从闭锁群中获得的。因此,该产地的血清供应有限。为了确保研究、临床和全规模生产的安全供货,需要考虑其他产地的备用货源。但是,这些来源的 FBS 必须满足要求的性能和质量标准。
控制工艺变异性是疗法开发和生产的另一个关键方面。这包括了解和管理特定来源血清的批内和批间变异性。FBS 是乳制品和肉类行业的副产品,可能会存在批间差异。
考虑到所有这些因素,我们评价并比较了源自美国、新西兰和澳大利亚的 HyClone 优级胎牛血清 (FBS) 的细胞培养和生产性能。实验使用贴壁 HEK293T 细胞和补充 10% FBS 的 HyClone DMEM,并检查下列指标:
- 一般形态
- 细胞生长动力学和群体倍增时间
- 活力
- PEI 法腺相关病毒血清型 2 (AAV2) 转染后的转染效率
- PEI 法 AAV2 转染后的病毒生产
研究结果清楚地表明,在补充来自美国、新西兰或澳大利亚的 10% FBS 的 HyClone DMEM 中培养的贴壁 HEK293T 细胞中,对细胞培养动力学、形态、转染效率或病毒生产没有明显影响。此外,评估所包含样本的批内或批间差异时,未发现任何分析参数之间存在差异。
结果和讨论
细胞形态和生长动力学
每个批次选用三个培养瓶和每个原产国三个批次(得到 n = 27 个实验条件)对 HyClone FBS 进行了评价。冻存细胞解冻和传代后,评估了一般形态、细胞生长动力学和群体倍增时间 (PDT)。包括所有 n = 27 个血清条件并在平行 T25 细胞培养瓶中培养。每周监测细胞并传代两次。记录随时间变化的 PDT 和活力。
比较了补充有任何血清的 DMEM 中培养的 HEK293T 细胞,未发现细胞形态差异(图 1)。在各 PDT(图 2)、平均批次 PDT(图 2)、每个国家/地区的平均 PDT 随时间的变化(图 3A)或总体综合平均 PDT(图 3B)方面,均未发现差异。


通过流式细胞仪分析了转染效率,使用门控策略定量测定每个样本中所有活细胞中 GFP+ 细胞的比例。使用重复样本进行了两次转染实验。比较了每个 FBS 批次的转染效率(图 5A)或每个原产国的总体转染效率(图 5B),未发现明显的差异。

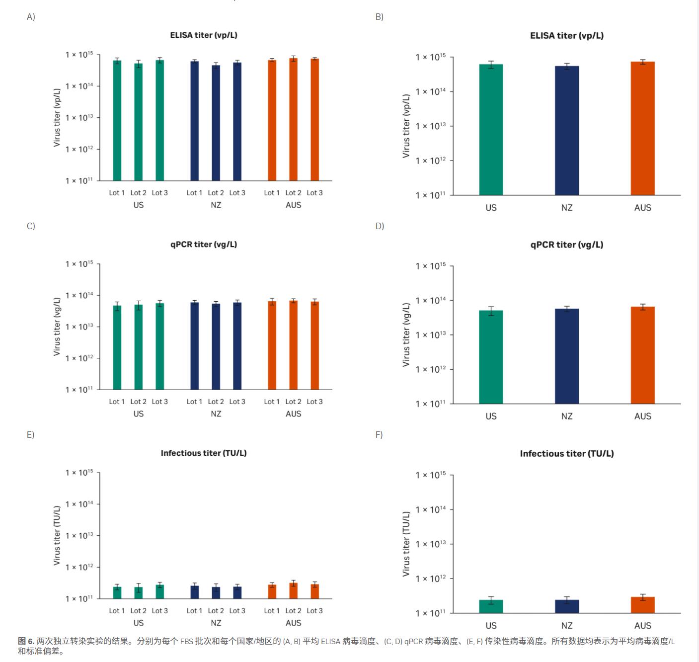
病毒滴度
转染后 72 小时,收获样本并在 -80℃ 下冻融三次。反复冻融循环后,样本以 10000 × g 离心以澄清上清液并等分,使用酶联免疫吸附试验 (ELISA)、qPCR 和转导测定分析进行病毒滴度分析。使用所有三种方法在重复运行中对经过两次转染实验的所有样本进行两次检测。比较了所有 FBS 批次(分别为图 6A、C、E)或每个原产国的总体 ELISA、qPCR 或传染性病毒滴度(分别为图 6B、D、F),未发现差异。

结论
本研究对来自三个不同国家/地区的 HyClone 品牌 FBS 进行了评价,每个国家/地区使用三个独立批次,每个批次使用三个培养瓶,得到总计 n = 27 个不同条件,进行平行比较。使用单一贴壁 HEK 细胞系评价 FBS 性能。总体差异较低,表明所包含的 FBS 批次在质量或性能上没有差异;然而,并未声称将这些结果外推到其他细胞系或工艺。
鉴于细胞培养实验的一般性质以及比较多种培养物时随着时间的推移可发现的差异,未发现变化表明,对于补充来自美国 (US)、新西兰 (NZ) 或澳大利亚 (AUS) 的 10% FBS 的 HyClone DMEM 中培养的贴壁 HEK293T 细胞的细胞培养动力学、形态、转染效率或病毒生产没有明显影响。此外,评估所包含样本的批内差异或批间差异时,未发现任何分析参数的差异。
结果明确表明,源自美国、新西兰或澳大利亚的优级 HyClone FBS 的性能无显著差异。
风险提示:丁香通仅作为第三方平台,为商家信息发布提供平台空间。用户咨询产品时请注意保护个人信息及财产安全,合理判断,谨慎选购商品,商家和用户对交易行为负责。对于医疗器械类产品,请先查证核实企业经营资质和医疗器械产品注册证情况。
技术资料暂无技术资料 索取技术资料









