万千商家帮你免费找货
0 人在求购买到急需产品
- 详细信息
- 文献和实验
- 技术资料
- 库存:
34
- CAS号:
145783-14-8
- 供应商:
上海联祖
- 保存条件:
-20度冻存
- 规格:
5g,10g,25g,100g
1.进入实验室要穿戴好实验服,实验帽,头套,手套,护目镜,口罩,实验鞋,不仅是为了避免污染,也是为了防止化学试剂对实验者造成伤害。
2.进行实验前,要了解实验原理,实验操作步骤以及实验注意事项;此外还要熟悉实验室各仪器设备的SOP,防止操作不当对实验者和实验造成伤害和损失。
3.熟悉各种生化试剂的MSDS,设置专用废液桶用来收集废液,对垃圾进行分类,并常开排风扇。
4.对于菌类实验,要做好灭菌处理,防止污染外部环境。
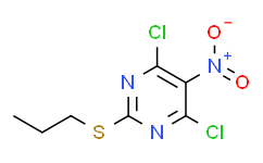
| CAS No | 145783-14-8 | 分子式 | C7H7Cl2N3O2S |
| 分子量 | 268.12 | 规格 | 5g,10g,25g,100g |
| 货号 | LZ-SJ13238 | 纯度 | 98% |
中文别名:4,6-二氯-5-硝基-2-(丙基硫基)嘧啶
英文名称:4,6-Dichloro-5-nitro-2-(propylthio)pyrimidine
英文别名:4,6-dichloro-5-nitro-2-propylsulfanylpyrimidine
CAS No.:145783-14-8
分子式:C7H7Cl2N3O2S
分子量:268.12
精确质量:266.964
密度:1.547g/cm3
沸点:377.79oC at 760 mmHg
闪点:182.281oC
折射率:1.608
储存条件:-20°C
生化试剂的分类
一按照化学性质分类
1.酶类:包括ALT,AST,ALP,ACP,r-GT,α-HBDH,LDH,CK,CK-MB,α-AMY,MSO,ADA,ChE等。
2.底物/代谢产物类:包括TG,TC,HDL-C,LDL-C,UA,UREA,Cr,Glu,,ATlPb,T-Bil,TBA,NH4+,CO2等。
3.无机离子类:包括Ca,P,Mg,Cl等。
4.特种蛋白类:包括apoAl,apoB,Lp(a),C3,C4,PFB(B因子),IgG,IgA,IgM等。
二按照临床应用分类
1.无机离子:包括Ca,P,Mg,Cl等。
2.肝功能:包括ALT,AST,r-GT,ALP,MSO,T-Bil,D-Bil,TBA,TP,Alb等。
3.肾功能:UA,UREA,Cr等。
4.心肌酶谱:CK,CK-MB,LDH,α-HBDH,AST,MSO。
5.糖尿病:GLU等。
6.前列腺疾病:ACP,p-ACP等。
7.胰腺炎:α-AMY。
8.血脂:TC,TG,HDL-C,LDL-C,apoA1,apoB,Lp(a)。
9.痛风:UA。
10.有机磷中毒:ChE。
11.免疫性疾病:C3,C4,PFB(B因子),IgG,IgA,IgM,Kappa链,Lambda链。
公司正在出售的产品:
| Anti-CD84 Antibody (Clone#27C37) | MIP-3β/ELC/CCL19 ELISA Kit |
| Anti-C3ORF38 Antibody (Clone#29C43) | MMP-1 ELISA Kit |
| Anti-DOT1L Antibody | MMP-10 ELISA Kit |
| Anti-CASPR/CNTNAP1 Antibody | MMP-13 ELISA Kit |
| Anti-GH2 Antibody (Clone#OTI5B11) | MMP-2/Gelatinase ELISA Kit |
| Anti-PRKAR1B Antibody (Clone#OTI2A3) | IGFBP-4 ELISA Kit |
| Anti-HTRA2 Antibody | IL-10 ELISA Kit |
| Anti-GAPDHS Antibody (Clone#OTI1F6) | IGFBP-3 ELISA Kit |
| Anti-KHK Antibody (Clone#OTI3D1) | IL-11 ELISA Kit |
生化试剂质量标准流程及操作:
4,6-二氯-5-硝基-2-丙硫基嘧啶根据化学试剂纯度及杂质含量的多少,可将分为以下几个等级。
(1)优级纯试剂(GR) 亦称保证试剂,为一级品,纯度高,杂质极少,主要用于精密分析和科学研究,常以GR表示。
(2)分析纯试剂(AR) 亦称分析试剂,为二级品,纯度略低于优级纯,杂质含量略高于优级纯,适用于重要分析和一般性研究工作,常以AR表示。
(3)化学纯试剂(CP) 为三级品,纯度较分析纯差,但高于实验试剂,适用于工厂、学校一般性的分析工作,常以CP表示。
(4)实验试剂(LR) 为四级品,纯度比化学纯差,但比工业品纯度高,主要用于一般化学实验,不能用于分析工作,常以 LR表示。
风险提示:丁香通仅作为第三方平台,为商家信息发布提供平台空间。用户咨询产品时请注意保护个人信息及财产安全,合理判断,谨慎选购商品,商家和用户对交易行为负责。对于医疗器械类产品,请先查证核实企业经营资质和医疗器械产品注册证情况。
文献和实验柱床层堵塞。2、检测用10%乙腈水,1.0ml/min的流量冲洗色谱柱,冲洗大约30分钟,将色谱柱中可能存在的磷酸缓冲盐置换掉。然后用85%甲醇流动相,尿嘧啶、硝基苯、萘、芴反相样品评价色谱柱:可见色谱峰形非常差,可能是柱头污染,色谱柱中部分填料已经被污染便性,柱头打开,发现柱头部分色填料已经变,部分填料板结在筛板和四氟垫圈的周围,属于典型的由于样品杂质引起色谱柱填料污染导致的色谱柱性能下降。3、修补与再生将柱头污染填料挖出,用同样规格的新填料进行修补并更换新筛板,然后用85%的甲醇流动相。在相同
酚类化合物是其降解产物, 其中对甲基苯酚、2,6 -二甲基苯酚、4 -乙基苯酚、4 -辛基苯酚、对壬基苯酚、4 -硝基苯酚、2 -氯苯酚、1,3 -二氯苯酚、2,4 -二氯 苯酚、2,6 -二氯苯酚、三氯苯酚和 2,3,5,6 -四氯苯酚 12 种化合物 的 Ames 试验表明除 2,4 - 二氯苯酚未诱发各菌株的阳性反应外,其余 11 种待测物均诱发了阳性反应, 说明这 11 种苯酚类化 合物均具有致突变性。杨丽等、东北师大学报(自然科学版)2003,01。 重组葡糖激酶作为一种生物技术药物具有明显
实际试验和系统间的问题。如果在某试验条件下系统压力升高,而在标准条件下压力正常。这说明系统异常是由实验室的变化所引起的。下表列举了启用新色谱柱是的标准试验条件,在使用过程中也可用此标准试验条件检查系统的情况。 流动相 甲醇/水(体积比=70/30) 色谱柱 C18 反相 流速 1mL/min 检测器 UV 254nm 样品 尿嘧啶(用于t0) 苯酚,苯乙酮,硝基苯,苯甲醚,甲苯 流动相 正己烷/异丙醇(体积比=75/25) 色谱柱 腈基 极性键合相 流速 1mL/min 检测
技术资料暂无技术资料 索取技术资料










