万千商家帮你免费找货
0 人在求购买到急需产品
- 详细信息
- 技术资料
- 库存:
36
- CAS号:
1071-83-6
- 供应商:
上海联祖
- 保存条件:
-20度冻存
- 规格:
5g,25g
生化实验的注意事项有哪些?
1.进入实验室要穿戴好实验服,实验帽,头套,手套,护目镜,口罩,实验鞋,不仅是为了避免污染,也是为了防止化学试剂对实验者造成伤害。
2.进行实验前,要了解实验原理,实验操作步骤以及实验注意事项;此外还要熟悉实验室各仪器设备的SOP,防止操作不当对实验者和实验造成伤害和损失。
3.熟悉各种生化试剂的MSDS,设置专用废液桶用来收集废液,对垃圾进行分类,并常开排风扇。
4.对于菌类实验,要做好灭菌处理,防止污染外部环境。
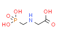
草甘膦
商品属性:
| CAS No | 1071-83-6 | 分子式 | C3H8NO5P |
| 分子量 | 169.07 | 规格 | 5g,25g |
| 货号 | LZ-SJ11983 | 纯度 | 98% |
中文别名:甘草膦; N-(膦酰甲基)氨基乙酸; 农达; 奔达; 镇草宁; N-(磷酰基甲基)甘氨酸; N-(磷酸甲基)甘氨酸;
英文名称:Glyphosate
英文别名:N-(phosphonol)glycine
CAS No.:1071-83-6
分子式:C3H8NO5P
分子量:169.07
危险品标志:Xi
精确质量:169.014
PSA:116.67
密度:1.74
熔点:230?°C (dec.)(lit.)
沸点:465.8oC at 760 mmHg
闪点:230°C
折射率:1.576
海关编码:2931900041
危险品运输码:UN 3077 9/PG 3
储存条件:库房通风低温干燥,与食品原料分开储运
公司正在出售的产品:
| MLR2 Antibody Blocking Peptide | Anti-KIF4A Antibody (Clone#24K13) |
| BPTF Antibody Blocking Peptide | Anti-VAX1 Antibody (Clone#OTI4E5) |
| AKR1C3 Antibody Blocking Peptide | Anti-ARNTL Antibody |
| DGKI Antibody Blocking Peptide | Anti-CD336/NCR2 Antibody (Clone#OTI4B8) |
| CSF3R Antibody Blocking Peptide | Anti-ITGA2 Antibody |
| HSD3B1 Antibody Blocking Peptide | Anti-POLR2J Antibody (Clone#OTI1B11) |
| CELF3 Antibody Blocking Peptide | Anti-HNRNPF Antibody (Clone#OTI5F5) |
| PABPC4L Antibody Blocking Peptide | Anti-FAF1 Antibody (Clone#OTI9D12) |
| ZG16B Antibody Blocking Peptide | Anti-APPL1 Antibody (Clone#18A86) |
| HNRNPM Antibody Blocking Peptide | Anti-LIMS2 Antibody (Clone#OTI5H8) |
| C1ORF190 Antibody Blocking Peptide | Anti-MATK Antibody (Clone#9D7) |
| SPC25 Antibody Blocking Peptide | Anti-RNASE9 Antibody (Clone#OTI4F12) |
| RCAN2 Antibody Blocking Peptide | Anti-RTN4RL1 Antibody (Clone#29R59) |
| GRN Antibody Blocking Peptide | Anti-PPP3CB Antibody (Clone#CN-B1) |
| alpha Sarcoglycan Antibody Blocking Peptide | Anti-DOCK8 Antibody (Clone#OTI2C11) |
生化试剂质量标准流程及操作:
草甘膦根据化学试剂纯度及杂质含量的多少,可将分为以下几个等级。
(1)优级纯试剂(GR) 亦称保证试剂,为一级品,纯度高,杂质极少,主要用于精密分析和科学研究,常以GR表示。
(2)分析纯试剂(AR) 亦称分析试剂,为二级品,纯度略低于优级纯,杂质含量略高于优级纯,适用于重要分析和一般性研究工作,常以AR表示。
(3)化学纯试剂(CP) 为三级品,纯度较分析纯差,但高于实验试剂,适用于工厂、学校一般性的分析工作,常以CP表示。
(4)实验试剂(LR) 为四级品,纯度比化学纯差,但比工业品纯度高,主要用于一般化学实验,不能用于分析工作,常以 LR表示。
风险提示:丁香通仅作为第三方平台,为商家信息发布提供平台空间。用户咨询产品时请注意保护个人信息及财产安全,合理判断,谨慎选购商品,商家和用户对交易行为负责。对于医疗器械类产品,请先查证核实企业经营资质和医疗器械产品注册证情况。
技术资料暂无技术资料 索取技术资料
草甘膦
¥200 - 3200






![聚[2-甲氧基-5-(2-乙基己氧基)-1,4-苯撑乙烯撑]](https://img1.dxycdn.com/p/s14/2024/0104/846/4281011652863572471.jpg!wh200)


