相关产品推荐更多 >
万千商家帮你免费找货
0 人在求购买到急需产品
- 详细信息
- 文献和实验
- 技术资料
- 库存:
99
- 英文名:
HA-ADH
- 保质期:
一年
- 供应商:
深圳市魅罗科技有限公司
- 保存条件:
-20度干燥避光
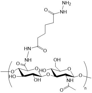
中文名称:透明质酸-己二酸二酰肼
英文名称:HA-ADH
分子量:HA: 5K 10K 20K 30K 40K 50K 100K......
保存条件:-20°干燥避光
保存时间: 一年
产品结构
产品简介
透明质酸 (HA) 是一种无处不在的细胞外基质成分,因其生物相容性和低免疫原性而对医学应用具有吸引力。己二酸二酰肼修饰透明质酸使得透明质酸可以交联到含有醛基或醛官能化的聚合物。
相关产品
HA-NH2 透明质酸-氨基
HA-SH 透明质酸-巯基
HA-MAL 透明质酸-马来酰亚胺
HA-DBCO 透明质酸-二苯基环辛炔
HA-FITC 透明质酸-荧光素
HA-RB 透明质酸-罗丹明
HA-PEG 透明质酸-聚乙二醇
HA-PEI 透明质酸-聚乙烯亚胺
HA-cRGD 透明质酸-环肽cRGD
HA-PLA 透明质酸-聚乳酸
HA-PCL 透明质酸-聚己内酯
风险提示:丁香通仅作为第三方平台,为商家信息发布提供平台空间。用户咨询产品时请注意保护个人信息及财产安全,合理判断,谨慎选购商品,商家和用户对交易行为负责。对于医疗器械类产品,请先查证核实企业经营资质和医疗器械产品注册证情况。
文献和实验(hyaluronic acid)、硫酸皮肤素(dermatan sulfate)等。这些二糖都含有一个氨基糖,并至少含有一个负电的磺酸基或羧基团。由于氨基聚糖是亲水的,并且带有负电荷,所以它们既能结合阳离子又能结合水分子,由于糖胺聚糖的这种性质,它们在细胞外创造了水合的、胶状的材料,形成了所谓的细胞外基质的基质。
Synthesis and Characterization of Hyaluronan-Based Polymers for Tissue Engineering
Hyaluronan (HA) is a naturally occurring, negatively charged high mol-wt glycosaminoglycan (GAG), that is composed of repeated disaccharide units of D-glucuronic acid and N-acetylglucosamine. It is the only GAG that lacks an associated
Use of Capillary Electrophoresis for Polysaccharide Studies and Applications
hyaluronic acid (HA). Mobility data obtained as a function of buffer pH for a native HA sample as well as for two galactose-amide HA derivatives, having slightly different degrees of substitution, are presented and discussed in terms of the polymer charge
技术资料暂无技术资料 索取技术资料










