相关产品推荐更多 >
万千商家帮你免费找货
0 人在求购买到急需产品
- 详细信息
- 询价记录
- 技术资料
- 库存:
大量
- 英文名:
PTA
- CAS号:
NA
- 保质期:
长期
- 供应商:
上海仁科生物科技有限公司
- 保存条件:
-20°

BioSkryb 的 ResolveDNA™采用PTA (Primary Template-directed Amplification)原代模板定向扩增技术,采用抗核酸外切酶活性的终结子 (化学修饰的核苷酸) 实现拟线性扩增 (quasi-linear process),绝大多数扩增子来源于原始模板的扩增,扩增产物无法再次被复制,因此扩增过程产生的错误不会被放大,并且Phi29 DNA 聚合酶可减少扩增错误率,此外,还可以扩增线粒体基因组 (Mitochondrial Genome)。

PTA技术亮点
1)PTA技术具有较好的覆盖度
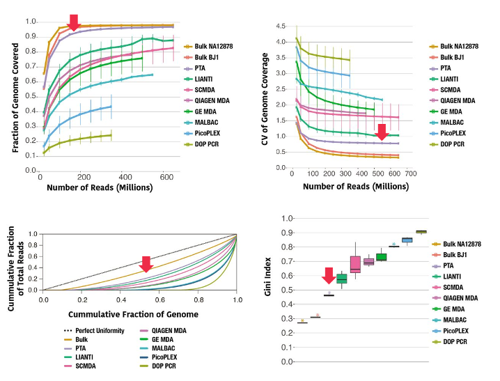
由下图可见,PTA的基因组覆盖度最接近Bulk测序的水平,其覆盖度达到95%以上

2)PTA技术具有较好的分辨率和均一性

3)PTA技术具有较好的保真性

4)PTA技术具有较好的收率和重现性
为了验证PTA技术具有较好的收率和重现性,该实验中加了质控DNA(1ng到10pg)、单个细胞起始量、5个细胞起始量。
可以看到在单细胞层面,经PTA扩增后,单细胞基因组从6pg起始能达到1.5-2ug的水平,可满足后续的建库流程及PCR-Free的流程。

5)PTA技术同时获取线粒体基因组数据
如下图所示,使用PTA技术对单细胞基因组进行扩增,除了获得基因组上的数据之外,同时获得了线粒体基因组上的结果。

PTA技术的应用领域

*本产品仅限科研使用,不可用于临床诊断流程
风险提示:丁香通仅作为第三方平台,为商家信息发布提供平台空间。用户咨询产品时请注意保护个人信息及财产安全,合理判断,谨慎选购商品,商家和用户对交易行为负责。对于医疗器械类产品,请先查证核实企业经营资质和医疗器械产品注册证情况。
- 作者
- 内容
- 询问日期
技术资料暂无技术资料 索取技术资料










