相关产品推荐更多 >
万千商家帮你免费找货
0 人在求购买到急需产品
- 详细信息
- 文献和实验
- 技术资料
- 库存:
2000
- 英文名:
Chitosan-PCL
- 保质期:
一年
- 供应商:
深圳市魅罗科技有限公司
- 保存条件:
-20°干燥避光
- 规格:
100mg
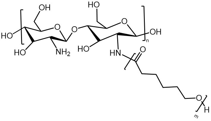
中文名称:壳聚糖-聚己内酯
英文名称:Chitosan-PCL
中文别称:PCL修饰壳聚糖,PCL-壳聚糖
存储条件:-20°C,避光,避湿
聚合物胶束由于其良好的性能已经受到人们的广泛关注,其粒径通常在10-200nm之间.两亲性聚合物可以通过自组装形成胶束,其疏水链段会形成胶束内核从而提升疏水性药物的溶解性,而亲水链段则形成了胶束外壳.根据以上这一特殊的性质,聚合物胶束可以作为很好的药物载体,另外聚合物胶束还可以提升药物在体内的循环时间。
壳聚糖和PCL两种生物可降解聚合物作为纳米载体,通过共价修饰的方法合成了壳聚糖-PCL共聚物,利用超声自组装法制备了壳聚糖-PCL纳米载体。
魅罗科技可以提供不同基团修饰的壳聚糖衍生物,包括的产品如下
Chitosan-FITC 荧光素标记壳聚糖
Chitosan-RB 罗丹明标记壳聚糖
Chitosan-Cy3 花菁Cy3标记壳聚糖
Chitosan-Cy3.5 花菁Cy3.5标记壳聚糖
Chitosan-Cy5 花菁Cy5标记壳聚糖
Chitosan-Cy5.5 花菁Cy5.5标记壳聚糖
Chitosan-Cy7 花菁Cy7标记壳聚糖
Chitosan-Cy7.5 花菁Cy7标记壳聚糖
Chitosan-NH2 氨基功能化壳聚糖
Chitosan-COOH 羧基功能化壳聚糖
Chitosan-SH 巯基功能化壳聚糖
Chitosan-N3 叠氮功能化壳聚糖
Chitosan-MAL 马来功能化壳聚糖
Chitosan-Alkyne 炔基功能化壳聚糖
Chitosan-Biotin 生物素功能化壳聚糖
Chitosan-FA 靶向叶酸修饰壳聚糖
Chitosan-DBCO 二苯基环辛炔修饰壳聚糖
Chitosan-cRGD 环肽RGD修饰壳聚糖
Chitosan-PLA 聚乳酸-壳聚糖嵌段共聚物
Chitosan-PCL 聚己内酯-壳聚糖嵌段共聚物
Chitosan-PLGA 聚乳酸-羟基乙酸共聚物-壳聚糖嵌段共聚物
Chitosan-PEI 聚乙烯亚胺-壳聚糖嵌段共聚物
Chitosan-HA 透明质酸-壳聚糖嵌段共聚物
Chitosan-PEG-DSPE 聚乙二醇磷脂修饰壳聚糖
风险提示:丁香通仅作为第三方平台,为商家信息发布提供平台空间。用户咨询产品时请注意保护个人信息及财产安全,合理判断,谨慎选购商品,商家和用户对交易行为负责。对于医疗器械类产品,请先查证核实企业经营资质和医疗器械产品注册证情况。
文献和实验Chitosan Nanoparticle-Mediated Gene Transfer
-based therapeutics are the major drawbacks of gene therapy. Viral and nonviral gene transfer vectors have been developed to facilitate the cellular internalization and preserve their activity until the successful transgene expression. Chitosan, a natural
Enzyme Immobilization Using Chitosan-Xanthan Complexes
of polycations, and complexation between polyanions and polycations (7 –11 ). In this chapter, we describe novel hydrogels prepared from naturally occurring polymers, namely chitosan and xanthan.
Synthesis and Characterization of Chitosan Scaffolds for Cartilage-Tissue Engineering
usually involves decalcification, deproteination, and decolorization, which may be accomplished by sequential treatment in 5% HCl solution, 5% NaOH, and 0.5%KMnO4 (aq) and oxalic acid. Chitosan , poly(N -acetyl-2-amino-2-deoxy-d -Gluco-pyranose










