相关产品推荐更多 >
万千商家帮你免费找货
0 人在求购买到急需产品
- 详细信息
- 技术资料
- 保存条件:
4°C
- 保质期:
12个月
- 英文名:
Cyanine 647 Aminooxy 96008
- 库存:
99
- 供应商:
Biotium
- CAS号:
1
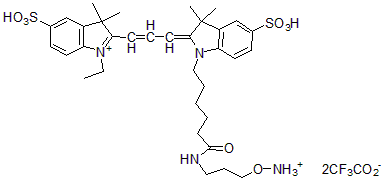
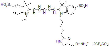
Cyanine dye with an aminooxy reactive group can be used to fluorescently label target molecules with an aldehyde or ketone group. Aminooxy group readily reacts with an aldehyde or ketone group to form a stable oxime linkage without the use of reducing agents. We offer Cyanine 647 Aminooxy and Cyanine 555 Aminooxy.
- React with aldehyde/ketone groups on target molecules.
- Structurally identical to Cy®3 and Cy®5 dyes from GE Healthcare.
Cyanine 555 (aka Cy®3):
- λEx/λEm (water) = 555/565 nm
- Dark blue solid soluble in water, DMF and DMSO
- C38H48F6N4O12S2
- MW: 931
Cyanine 647 (aka Cy®5):
- λEx/λEm (water) = 650/665 nm
- Dark blue solid soluble in water, DMF and DMSO
- C40H50F6N4O12S2
- MW: 957
风险提示:丁香通仅作为第三方平台,为商家信息发布提供平台空间。用户咨询产品时请注意保护个人信息及财产安全,合理判断,谨慎选购商品,商家和用户对交易行为负责。对于医疗器械类产品,请先查证核实企业经营资质和医疗器械产品注册证情况。
Cyanine 647 Aminooxy 96008
询价













