相关产品推荐更多 >
万千商家帮你免费找货
0 人在求购买到急需产品
- 详细信息
- 技术资料
- 保存条件:
-20°C
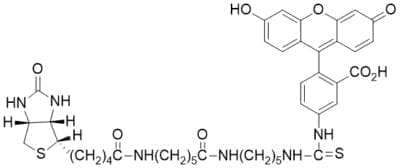
- 英文名:
FLUORESCEIN BIOTIN 80019
- 库存:
99
- 供应商:
Biotium
- CAS号:
134759-22-1
Fluorescein biotin (5-((N-(5-(N-(6-(Biotinoyl)amino)hexanoyl)amino)pentyl)thioureidyl) fluorescein) can be used to detect and quantify biotin binding sites and the degree of biotinylation of proteins. Also see biotin-rhodamine 110 (80022) and biotin-4-fluorescein (90062).
- λEx/λ Em= 494/518 nm
- Yellow solid soluble in DMSO, or DMF
- Store at -20°C and protect from light
- C42H50N6O8S2
- MW: 831
- [134759-22-1]
风险提示:丁香通仅作为第三方平台,为商家信息发布提供平台空间。用户咨询产品时请注意保护个人信息及财产安全,合理判断,谨慎选购商品,商家和用户对交易行为负责。对于医疗器械类产品,请先查证核实企业经营资质和医疗器械产品注册证情况。
FLUORESCEIN BIOTIN 80019
询价












