相关产品推荐更多 >
万千商家帮你免费找货
0 人在求购买到急需产品
- 详细信息
- 技术资料
- 保存条件:
-20°C
- 保质期:
1年
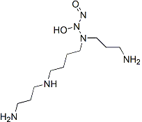
- 英文名:
SPERMINE NONOATE 00224
- 库存:
99
- 供应商:
Biotium
- CAS号:
136587-13-8
Spermine NONOate releases nitric oxide by spontaneously dissociating in a pH-
- Generate a controlled release of nitric oxide
- Spontaneously dissociates in a pH-
dependent, first- order reaction - White solid soluble in water
NO concentration is often assessed by measuring nitrite level using the Griess Reagent. If a variety of nitric oxide generators are needed, we offer a Nitric Oxide Generation Kit which has 10mg each of SIN-1 (00221), SNAP (00222), S-nitrosoglutathione (00223), spermine NONOate (00224), and DEA-NONOate (00225).
风险提示:丁香通仅作为第三方平台,为商家信息发布提供平台空间。用户咨询产品时请注意保护个人信息及财产安全,合理判断,谨慎选购商品,商家和用户对交易行为负责。对于医疗器械类产品,请先查证核实企业经营资质和医疗器械产品注册证情况。
SPERMINE NONOATE 00224
询价












