相关产品推荐更多 >
万千商家帮你免费找货
0 人在求购买到急需产品
- 详细信息
- 询价记录
- 技术资料
- 库存:
20
- 英文名:
Adenosine-1-N-oxide-3',5'-cyclic monophosphate ( 1-NO-cAMP ) 1-NO-cAMP
- CAS号:
75912-25-3
- 保质期:
1年
- 供应商:
北京孚博生物
- 保存条件:
−20°C
- 规格:
1mg
Biolog公司,总部位于德国,公司专注于信号转导研究,产品包括环核苷酸的蛋白激酶、磷酸二酯酶和离子通道等调节剂。Biolog对环核苷酸反应性受体的新型特异性调节剂进行了长期研究,目前已经开发出几种公认的信号转导研究工具,如PKA和PKG抑制剂以及Epac特异性激动剂。该公司还与其他研究团队合作,主要从事受体定位研究和通过核苷酸类似物开发新型酶调节剂,因此公司在核苷酸化学和相应的科学领域有很强的技术背景。
除了广泛的高质量核苷碱基、核苷和核苷酸类似物产品之外,我们还提供定制合成和相关服务,例如定制纯化或核苷酸和其他结构的标记。
厂家官网:Homepage BIOLOG Life Science Institute
我们优势进口德国Biolog的小分子产品,价格优惠,货期3-4周,质量和售后有保障!
了解更多产品和定制服务信息请留言,或 直接与我们销售人员联系。
联系方式:固话:400-780-1766;Email:info@f-biology.com
马先生,电话:18612979069;QQ:QQ 928148420
邢先生,电话:13260236521;QQ:20493615
下面通过两种实际产品,介绍Biolog life science品牌信息
① Adenosine-1-N-oxide-3',5'-cyclic monophosphate ( 1-NO-cAMP ) 1-NO-cAMP
产品参数:


产品信息:
Properties:
· Activator of cAMP- dependent protein kinases,
· Analogue with high polarity which should be unable to pass cellular membranes (please compare also 8-hydroxy-cAMP, Cat. No. H 003),
· Due to its modified N1 - position this analogue is used to investigate the binding properties of this part of the nucleobase towards cAMP receptor proteins ( receptor mapping studies ).
Specification: Crystallized or lyophilized sodium salt. The free acid or other salt forms are available upon request. Please keep in mind that equal concentrations of the compound may look different in volume depending on humidity. Micro molar quantities are determined by UV at lmax.
Purity: Typical analysis is better than 98% (HPLC / UV / 260 nm). The product is not sterile and has not been tested for endotoxins.
Solubility: 1-NO-cAMP is readily soluble in water or buffer. When opening the tube please make sure that no substance is lost within the cap. Please rinse tube walls carefully and preferably use ultrasonic or vortex to achieve total and uniform mixing.
Stability and Storage: 1-NO-cAMP is chemically stable under conditions of biological systems and media. Nevertheless, we recommend that the compound should be stored in the freezer, for longer storage periods preferably in freeze-dried form.
Toxicity and Safety: Since cyclic AMP has multiple tasks in every organism it cannot be completely excluded that even polar cAMP analogues will interfere with many cell regulation processes in vivo. However, due to the rather small quantities to work with, no health hazards have been reported. Nevertheless please keep in mind, that the in vivo properties of this compound are not sufficiently characterized up to now. Avoid skin contact or ingestion and allow only trained personnel to handle the product. Our products are designed, developed and sold for research purposes only! They are intended for in vitro and nonhuman in vivo laboratory applications. Any other use requires approval of health authorities
Not for drug, household or related uses!

② Rp-2'-O-MB-cAMPS
Lipophilic precursor of Rp-cAMPS (Cat. No. A 002), a competitive inhibitor of protein kinase A. During metabolic activation by esterases the inhibitor and butyrate are released. Caution: Butyrate was shown to have distinct biological effects! Significantly more lipophilic and membrane-permeant compared to Rp-cAMPS. Resistant against mammalian phosphodiesterases.
产品参数:


产品信息:
Description: Rp-2'-O-MB-cAMPS is an analogue of the parent compound cyclic AMP where the equatorial one of the two exocyclic oxygen atoms in the cyclic phosphate moiety is modified by sulfur (the suffix "p" indicates that R/S nomenclature refers to phosphorus). In addition, the 2'-hydroxy group of the ribose is esterified by butyric acid.
Properties: Rp-2'-O-MB-cAMPS is a lipophilic prodrug of the phosphodiesterase-stable protein kinase A inhibitor Rp-cAMPS which releases Rp-cAMPS and butyrate after metabolic degradation by intracellular esterases. Caution: Butyrate was shown to have distinct biological effects, thus control experiments with sodium butyrate are necessary. Rp-2'-MB-cAMPS is about 7 times more lipophilic compared to Rp-cAMPS. By occupying cAMP binding sites Rp-cAMPS prevents the kinase holoenzyme from dissociation and thus from activation. Due to this working principle preincubation of the inhibitor prior to the activation step is necessary for optimal results.
Application: Experience shows that applicable concentrations of Rp-2'-O-MB-cAMPS depend on the type of biosystem, its membrane properties and kinase content. A main application for Rp-2'-O-MB-cAMPS is to eliminate the first messenger-stimulated phosphorylation by cyclic AMP-dependent protein kinase. For this purpose preincubation (e.g. 20 min) is important, since the production of intracellular cyclic AMP initiated by a first messenger is much faster than the antagonist can penetrate the membrane when given extracellularly. Since Rp-cAMPS is metabolically stable in mammalian and many other systems, there is no danger of degradation during incubation periods. However, if the medium contains serum or other potential sources of esterases, Rp-cAMPS could be released already in the medium and the advantage of better membrane permeability is lost.
Specification: Lyophilized or crystallized sodium salt. The free acid or other salt forms are available upon request. Equal concentrations of Rp-2'-O-MB-cAMPS can appear very different in volume due to high sensitivity of the lyophilized form to humidity. The compound is hygroscopic and can even contract to small volume droplets. Normally, the product is located in the conical bottom of the tube. Micromolar quantities are determined by UV at lmax.
Purity: Typical analysis is better than 97% (HPLC / UV / 258 nm). The product is not sterile and has not been tested for endotoxins. Caution: Since even minor impurities of 2'-O-MB-cAMP/cAMP (0.2%) or Sp-cAMPS and Sp-2'-O-MB-cAMPS, respectively, can already activate protein kinase and compete with the antagonistic effect of the Rp-isomer, it is very important to work with strictly pure compounds concerning cyclic nucleotide contaminants. Therefore, Rp-2'-O-MB-cAMPS is specially checked for absence of both activators Sp-cAMPS/Sp-2'-O-MB-cAMPS and 2'-O-MB-cAMP/cAMP (0.05% when packed). However, we cannot guarantee total absence of 2'-O-MB-cAMP/cAMP due to its formation during prolonged storage.
Solubility: Rp-2'-O-MB-cAMPS is readily soluble in water or buffer. Please rinse tube walls (and cap if necessary) carefully and preferably use ultrasonic or vortex to achieve total and uniform mixing. When opening the tube please make sure that no substance is lost within the cap.
Stability and Storage: Rp-2'-O-MB-cAMPS has sufficient stability at room temperature and does not need special care during handling or shipment. Nevertheless the compound and its solutions should be stored in the refrigerator and should be lyophilized and frozen for longer storage periods since desulfurization yielding 2'-O-MB-cAMP can occur slowly. This normally rather slow sulfur/oxygen exchange is accelerated by oxidizing agents. Please note that some cell culture media contain esterases which can already release the active inhibitor.
Toxicity and Safety: Since cyclic AMP has multiple tasks in every organism it is very likely that lipophilic cAMP analogues will interfere with many cell regulation processes in vivo. However, due to the rather small quantities to work with no health hazards have been reported. Nevertheless please keep in mind that the in vivo properties of these compounds are not sufficiently characterized up to now. Avoid skin contact or ingestion and allow only trained personnel to handle the product. Our products are designed, developed and sold for research purposes only! They are intended for in vitro and nonhuman in vivo laboratory applications. Any other use requires approval of health authorities.
Not for drug, household or related uses!
目前,Biolog life science全部产品有:
1.Cyclic Nucleotides:
3.Nucleobases: 4.Nucleosides: 5.Nucleoside-2’,3’&5’-monophosphates 6.Nucleoside-5’-diphosphates 7. Nucleoside-5’-triphosphates 8.Affinity Chromatography Media 9.Fluorescent Nucleotides
12.NAD,ADPR and cADPR Analogues 13.Dinucleoside Polyphosphates 14.Boranophosphates
15.Nucleotide Treasury
16. Miscellaneous
17. Future Products
孚博生物常备库存产品
品牌、货号、名称、包装如下:
Toxin technology#BT202,SEB,1mg;
Toxin technology#BT202red,SEB(Staphylococcal Enterotoxins B),1mg;
Toxin technology#ET404,SEE,100ug;
Toxin technology#DT303,SED,100ug;
Toxin technology#TT606,TSST-1,100ug;
Toxin technology#AT101,SEA,100ug;
Toxin technology#HT101,Alpha Hemolysin highly purified,100ug;
Toxin technology#HP101,Alpha Hemolysin - partially purified,10000Units;
IRA#SE-121-0.72mg,17β-ESTRADIOL,25片;
Listbio#150,Diphtheria Toxin, Unnicked, from Corynebacterium diphtheriae,1mg;
visual protein#IF01-4N,ImmunoFas Adjuvant,1套;
visual protein#HB01-1L,杂交瘤促进生长因子,50mg;
visual protein#BF20-50P,无蛋白封闭缓冲液,20片;
Research Diets#D12492,60%高脂饲料(research diets),12.5KG
Hooke Laboratories:
SIGMA FBS胎牛血清常备库存:
除了广泛的高质量核苷碱基、核苷和核苷酸类似物产品之外,我们还提供定制合成和相关服务,例如定制纯化或核苷酸和其他结构的标记。
厂家官网:Homepage BIOLOG Life Science Institute
我们优势进口德国Biolog的小分子产品,价格优惠,货期3-4周,质量和售后有保障!
了解更多产品和定制服务信息请留言,或 直接与我们销售人员联系。
联系方式:固话:400-780-1766;Email:info@f-biology.com
马先生,电话:18612979069;QQ:QQ 928148420
邢先生,电话:13260236521;QQ:20493615
下面通过两种实际产品,介绍Biolog life science品牌信息
① Adenosine-1-N-oxide-3',5'-cyclic monophosphate ( 1-NO-cAMP ) 1-NO-cAMP
产品参数:
| Cat. No. | A 023 |
| CAS number | [75912-25-3] |
| Purity | > 98% HPLC |
| Salt form | Sodium |
| Storage temperature | -20°C / -4°F |
| Molecular formula | C₁₀H₁₁N₅O₇P · Na |
| Molecular weight [g/mol] | 367.2 |
| Modifications | 1-cAMP |
| Target | PKA (cAK) Activator |
| Lipophilicity | 0.66 |
| Absorption max [nm] | 231/260 |
| Molar extinction coefficient ε [L·mol⁻¹·cm⁻¹] | 10100/9500 |


产品信息:
Properties:
· Activator of cAMP- dependent protein kinases,
· Analogue with high polarity which should be unable to pass cellular membranes (please compare also 8-hydroxy-cAMP, Cat. No. H 003),
· Due to its modified N1 - position this analogue is used to investigate the binding properties of this part of the nucleobase towards cAMP receptor proteins ( receptor mapping studies ).
Specification: Crystallized or lyophilized sodium salt. The free acid or other salt forms are available upon request. Please keep in mind that equal concentrations of the compound may look different in volume depending on humidity. Micro molar quantities are determined by UV at lmax.
Purity: Typical analysis is better than 98% (HPLC / UV / 260 nm). The product is not sterile and has not been tested for endotoxins.
Solubility: 1-NO-cAMP is readily soluble in water or buffer. When opening the tube please make sure that no substance is lost within the cap. Please rinse tube walls carefully and preferably use ultrasonic or vortex to achieve total and uniform mixing.
Stability and Storage: 1-NO-cAMP is chemically stable under conditions of biological systems and media. Nevertheless, we recommend that the compound should be stored in the freezer, for longer storage periods preferably in freeze-dried form.
Toxicity and Safety: Since cyclic AMP has multiple tasks in every organism it cannot be completely excluded that even polar cAMP analogues will interfere with many cell regulation processes in vivo. However, due to the rather small quantities to work with, no health hazards have been reported. Nevertheless please keep in mind, that the in vivo properties of this compound are not sufficiently characterized up to now. Avoid skin contact or ingestion and allow only trained personnel to handle the product. Our products are designed, developed and sold for research purposes only! They are intended for in vitro and nonhuman in vivo laboratory applications. Any other use requires approval of health authorities
Not for drug, household or related uses!

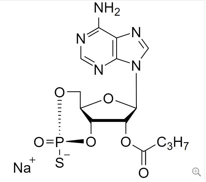
② Rp-2'-O-MB-cAMPS
Lipophilic precursor of Rp-cAMPS (Cat. No. A 002), a competitive inhibitor of protein kinase A. During metabolic activation by esterases the inhibitor and butyrate are released. Caution: Butyrate was shown to have distinct biological effects! Significantly more lipophilic and membrane-permeant compared to Rp-cAMPS. Resistant against mammalian phosphodiesterases.
产品参数:
| Cat. No. | M 004 |
| CAS number | [152218-23-0] |
| Purity | > 97% HPLC |
| Salt form | Sodium |
| Storage temperature | -20°C / -4°F |
| Molecular formula | C₁₄H₁₇N₅O₆PS · Na |
| Molecular weight [g/mol] | 437.4 |
| cAMP modified at the exocyclic oxygen | equatorial (Rp-) |
| Modifications | 2'-cAMP |
| Lipophilicity | 2.15 |
| Absorption max [nm] | 258 |
| Molar extinction coefficient ε [L·mol⁻¹·cm⁻¹] | 15200 |


产品信息:
Description: Rp-2'-O-MB-cAMPS is an analogue of the parent compound cyclic AMP where the equatorial one of the two exocyclic oxygen atoms in the cyclic phosphate moiety is modified by sulfur (the suffix "p" indicates that R/S nomenclature refers to phosphorus). In addition, the 2'-hydroxy group of the ribose is esterified by butyric acid.
Properties: Rp-2'-O-MB-cAMPS is a lipophilic prodrug of the phosphodiesterase-stable protein kinase A inhibitor Rp-cAMPS which releases Rp-cAMPS and butyrate after metabolic degradation by intracellular esterases. Caution: Butyrate was shown to have distinct biological effects, thus control experiments with sodium butyrate are necessary. Rp-2'-MB-cAMPS is about 7 times more lipophilic compared to Rp-cAMPS. By occupying cAMP binding sites Rp-cAMPS prevents the kinase holoenzyme from dissociation and thus from activation. Due to this working principle preincubation of the inhibitor prior to the activation step is necessary for optimal results.
Application: Experience shows that applicable concentrations of Rp-2'-O-MB-cAMPS depend on the type of biosystem, its membrane properties and kinase content. A main application for Rp-2'-O-MB-cAMPS is to eliminate the first messenger-stimulated phosphorylation by cyclic AMP-dependent protein kinase. For this purpose preincubation (e.g. 20 min) is important, since the production of intracellular cyclic AMP initiated by a first messenger is much faster than the antagonist can penetrate the membrane when given extracellularly. Since Rp-cAMPS is metabolically stable in mammalian and many other systems, there is no danger of degradation during incubation periods. However, if the medium contains serum or other potential sources of esterases, Rp-cAMPS could be released already in the medium and the advantage of better membrane permeability is lost.
Specification: Lyophilized or crystallized sodium salt. The free acid or other salt forms are available upon request. Equal concentrations of Rp-2'-O-MB-cAMPS can appear very different in volume due to high sensitivity of the lyophilized form to humidity. The compound is hygroscopic and can even contract to small volume droplets. Normally, the product is located in the conical bottom of the tube. Micromolar quantities are determined by UV at lmax.
Purity: Typical analysis is better than 97% (HPLC / UV / 258 nm). The product is not sterile and has not been tested for endotoxins. Caution: Since even minor impurities of 2'-O-MB-cAMP/cAMP (0.2%) or Sp-cAMPS and Sp-2'-O-MB-cAMPS, respectively, can already activate protein kinase and compete with the antagonistic effect of the Rp-isomer, it is very important to work with strictly pure compounds concerning cyclic nucleotide contaminants. Therefore, Rp-2'-O-MB-cAMPS is specially checked for absence of both activators Sp-cAMPS/Sp-2'-O-MB-cAMPS and 2'-O-MB-cAMP/cAMP (0.05% when packed). However, we cannot guarantee total absence of 2'-O-MB-cAMP/cAMP due to its formation during prolonged storage.
Solubility: Rp-2'-O-MB-cAMPS is readily soluble in water or buffer. Please rinse tube walls (and cap if necessary) carefully and preferably use ultrasonic or vortex to achieve total and uniform mixing. When opening the tube please make sure that no substance is lost within the cap.
Stability and Storage: Rp-2'-O-MB-cAMPS has sufficient stability at room temperature and does not need special care during handling or shipment. Nevertheless the compound and its solutions should be stored in the refrigerator and should be lyophilized and frozen for longer storage periods since desulfurization yielding 2'-O-MB-cAMP can occur slowly. This normally rather slow sulfur/oxygen exchange is accelerated by oxidizing agents. Please note that some cell culture media contain esterases which can already release the active inhibitor.
Toxicity and Safety: Since cyclic AMP has multiple tasks in every organism it is very likely that lipophilic cAMP analogues will interfere with many cell regulation processes in vivo. However, due to the rather small quantities to work with no health hazards have been reported. Nevertheless please keep in mind that the in vivo properties of these compounds are not sufficiently characterized up to now. Avoid skin contact or ingestion and allow only trained personnel to handle the product. Our products are designed, developed and sold for research purposes only! They are intended for in vitro and nonhuman in vivo laboratory applications. Any other use requires approval of health authorities.
Not for drug, household or related uses!
目前,Biolog life science全部产品有:
1.Cyclic Nucleotides:
- cAMP Analogues
- PDE- resistant PKA Inhibitors
- PDE- resistant PKA Activators
- Epac Agonists
- Epac- negative Controls
- Other PKA Activators
- cAMP Ligands for Immobilization
- cGMP Analogues
- PDE- resistant PKG Inhibitors
- PDE- resistant PKG Activators
- Other Activators of PKG
- cGMP Ligands for Immobilization
- Affinity Gels
- Caged Cyclic Nucleotides
- Special Task Cyclic Nucleotides
- Modulators of CNG Ion Channels
- Fluorescent Cyclic Nucleotides
- Peptide-based PKG Inhibitors
- Metabolically activatable cNMP
- cNMP with Pyrimidine Nucleobase
3.Nucleobases: 4.Nucleosides: 5.Nucleoside-2’,3’&5’-monophosphates 6.Nucleoside-5’-diphosphates 7. Nucleoside-5’-triphosphates 8.Affinity Chromatography Media 9.Fluorescent Nucleotides
- Fluorescent Cyclic Nucleotides
- Fluorescent Cyclic Dinucleotides
- Fluorescent Nucleosides
- Fluorescent Monophosphates
- Fluorescent Diphosphates
- Fluorescent Triphosphates
- Fluorescent NAD & ADPR Analogues
- Fluorescent Dinucleoside Polyphosphate Analogues
12.NAD,ADPR and cADPR Analogues 13.Dinucleoside Polyphosphates 14.Boranophosphates
15.Nucleotide Treasury
16. Miscellaneous
17. Future Products
- Cyclic Nucleotides
- Nucleosides
- 2', 3' & 5'-O-Monophosphates
- Nucleoside-5'-diphosphates
- Nucleoside-5'-triphosphates
- c-diGMP, c-diAMP & cGAMP Analogues
- Dinucleoside Polyphosphate
- Fluorescent Nucleotides
孚博生物常备库存产品
品牌、货号、名称、包装如下:
Toxin technology#BT202,SEB,1mg;
Toxin technology#BT202red,SEB(Staphylococcal Enterotoxins B),1mg;
Toxin technology#ET404,SEE,100ug;
Toxin technology#DT303,SED,100ug;
Toxin technology#TT606,TSST-1,100ug;
Toxin technology#AT101,SEA,100ug;
Toxin technology#HT101,Alpha Hemolysin highly purified,100ug;
Toxin technology#HP101,Alpha Hemolysin - partially purified,10000Units;
IRA#SE-121-0.72mg,17β-ESTRADIOL,25片;
Listbio#150,Diphtheria Toxin, Unnicked, from Corynebacterium diphtheriae,1mg;
visual protein#IF01-4N,ImmunoFas Adjuvant,1套;
visual protein#HB01-1L,杂交瘤促进生长因子,50mg;
visual protein#BF20-50P,无蛋白封闭缓冲液,20片;
Research Diets#D12492,60%高脂饲料(research diets),12.5KG
Hooke Laboratories:
SIGMA FBS胎牛血清常备库存:
风险提示:丁香通仅作为第三方平台,为商家信息发布提供平台空间。用户咨询产品时请注意保护个人信息及财产安全,合理判断,谨慎选购商品,商家和用户对交易行为负责。对于医疗器械类产品,请先查证核实企业经营资质和医疗器械产品注册证情况。
- 作者
- 内容
- 询问日期
技术资料需要更多技术资料 索取更多技术资料
德国 Biolog life science, Adenosine-1-N-oxide-3',5'-cyclic monophosphate ( 1-NO-cAMP ) 1-NO-cAMP
询价




![Acetamide, N-[2-(3,5-dimethyl-1H-pyrazol-1-yl)-6-[(2R)-2-(methoxymethyl)-1-pyrrolidinyl]-4-pyrimidinyl]-](https://img1.dxycdn.com/p/s14/2025/0214/538/8670428594612820981.jpg!wh200)


