相关产品推荐更多 >
万千商家帮你免费找货
0 人在求购买到急需产品
- 详细信息
- 文献和实验
- 技术资料
- 库存:
需咨询
- 英文名:
Pseudo UTP Sodium Salt, 100mM
- CAS号:
1175-34-4 (free acid)
- 保质期:
2年
- 供应商:
辰辉创聚生物®
- 保存条件:
-20度冷冻保存
- 规格:
100uL

【产品信息】
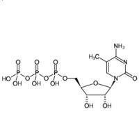
中文名称:假尿嘧啶核苷三磷酸钠,100mM
别名:Ψ-UTP; Pseudouridine-5'-triphosphate, Sodium Salt
分子式:C9H12N2Na3O15P3
分子量:550.1
CAS#:1175-34-4 (free acid)
纯度:≥ 97 % (HPLC)
【理化性质】
性状:Solution in water
颜色:Colorless
浓度:100mM±0.5%
pH:7.0±0.1(25℃)
吸光度:λmax 265nm±2nm (pH 7.5)
【保存条件】
储存:Short term: -20℃; Long term: -70℃
运输:2-8℃
风险提示:丁香通仅作为第三方平台,为商家信息发布提供平台空间。用户咨询产品时请注意保护个人信息及财产安全,合理判断,谨慎选购商品,商家和用户对交易行为负责。对于医疗器械类产品,请先查证核实企业经营资质和医疗器械产品注册证情况。
文献和实验polymerase as appropriate 2. Mix then spin down briefly. 3. Incubate at 37'C for 2-3 hours. 4. Add 2 ul DNase I, RNase free to remove DNA template. 5. Incubate at 37'C for 15 minutes. 10X NTP Labeling Mix: 10mM ATP, CTP, GTP, 6.5mM UTP, 3.5mM DIG in Tris
for 15 minutes. 10X NTP Labeling Mix: 10mM ATP, CTP, GTP, 6.5mM UTP, 3.5mM DIG in Tris-HCl, pH 7.5. 10X Transcription Buffer: 400mM Tris-HCl, pH 8.0; 60mM MgCl2, 100mM dithioerythritol, 20mM spermidine, 100mM NaCl, 1U/ml RNase Inhibitor
Sodium Acetate Precipitation of Small Nucleic Acids
sodium acetate. 3. Add 4 volumes of 100% ethanol; i.e. 1 ml 100% ethanol for 230 μl Lower Running Buffer plus 23 μl 3 M sodium acetate. 4. Mix thoroughly and incubate at –20° C overnight (16 hr). 5.
技术资料暂无技术资料 索取技术资料










