相关产品推荐更多 >
万千商家帮你免费找货
0 人在求购买到急需产品
- 详细信息
- 技术资料
- 库存:
100
- 英文名:
8-Hydroxy-3,5,6,7,3′,4′-hexamethoxyflavone
- CAS号:
1000415-56-4
- 保质期:
2年
- 供应商:
上海晅科生物科技有限公司
- 保存条件:
2-8℃
- 规格:
5mg-1g

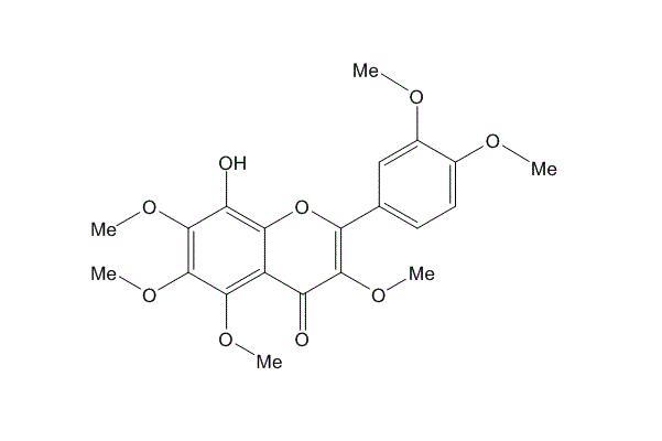
产品中文名称:8-羟基-3,5,6,7,3′,4′-六甲氧基黄酮 CAS:1000415-56-4 中药对照品
英文名: 8-Hydroxy-3,5,6,7,3′,4′-hexamethoxyflavone
CAS登录号: 1000415-56-4
分子式: C21H22O9
分子量: 418.39
分子结构:

规格: 5mg/支
纯度: ≥98%
用途: 用于含量测定/鉴定/药理实验等
鉴别方法: NMR,MS
贮存条件: 4℃冷藏、密封、避光
有效期: 2年
供货能力: 现货
订购信息:
为了方便客户的订购,在下单的时候请提供以下信息,以便我们快速为您建立发货信息。
产品编号(CAS No.或产品名称)
发货地址
联系方法 (联系人,电话)
如需发票的客户还请提供完整的开票信息
发票地址(发货地址与发票地址是否一致)
| 金腰乙素 CAS:603-56-5 中药对照品标准品 |
| 龙胆碱(秦艽碱甲)CAS:439-89-4 中药对照品标准品 |
| 萝卜硫苷 CAS:21414-41-5 中药对照品标准品 |
| 莱菔素 CAS:592-95-0 中药对照品标准品 |
| 芹糖甘草苷 CAS:74639-14-8 中药对照品标准品 |
| 法卡林二醇 镰叶芹二醇 CAS:225110-25-8 中药对照品标准品 |
| 地黄苦苷 CAS:104056-82-8 中药对照品标准品 |
| 阿基瑞林 CAS:616204-22-9 中药对照品标准品 |
| 甲基葡萄糖 CAS:13224-94-7 中药对照品标准品 |
| 苦蒿素 CAS:125675-09-4 中药对照品标准品 |

1. 在您收到产品后请检查产品。如无问题,请将产品存入冰霜并且样品瓶保持密封,产品可以存放长达24个月(2-8摄氏度)。
2. 只要有可能,产品溶解后,您应该在同一天应用于您的实验。 但是,如果您需要提前做预实验,或者需要全部溶解,我们建议您将溶液以等分试样的形式存放在-20℃的密封小瓶中。 通常,这些可用于长达两周。 使用前,打开样品瓶前,我们建议您将产品平衡至室温至少1小时。
我司中药标准品/对照品仅供科研实验,不得用于注射、食用或其他用途。
风险提示:丁香通仅作为第三方平台,为商家信息发布提供平台空间。用户咨询产品时请注意保护个人信息及财产安全,合理判断,谨慎选购商品,商家和用户对交易行为负责。对于医疗器械类产品,请先查证核实企业经营资质和医疗器械产品注册证情况。
技术资料暂无技术资料 索取技术资料
8-羟基-3,5,6,7,3′,4′-六甲氧基黄酮 CAS:1000415-56-4 中药对照品
¥300 - 2000





