2 年
手机商铺
技术资料/正文
69 人阅读发布时间:2025-06-25 09:17
引言
uPAR(urokinase-type plasminogen activator receptor),即尿激酶型纤溶酶原激活剂受体,是一种具有广泛生物学功能的膜蛋白受体。其编码基因位于人类染色体19q13.3-13.4上,主要功能是作为尿激酶纤溶酶原激活剂(uPA)的受体,参与细胞外基质降解和细胞迁移等过程。
uPAR蛋白的生物学功能
uPAR蛋白作为uPA的受体,不仅参与纤溶系统的启动,还介导了一系列复杂的信号转导过程,可调节各种信号通路,如PI3K/Akt、粘着斑激酶 (FAK) 和 Janus 激酶 (JAK) ‑ 信号转导和转录激活蛋白 (STAT),并与免疫反应、血管生成、炎症和纤维化相关。
首先,uPAR通过与uPA结合,激活纤溶酶原转化为纤溶酶,进而降解细胞外基质,为细胞迁移和侵袭提供条件。此外,uPAR还介导了由uPA激活的不依赖蛋白水解的信号转导,这些信号通路在细胞凋亡、表皮生长因子信号传导及细胞色素c释放等过程中发挥重要作用。

上皮细胞衍生的黏附分子(uPA/uPAR)及其下游效应在肿瘤转移过程中的作用机制。uPA系统在涉及局部蛋白水解级联、降解细胞外基质(ECM)以及最终肿瘤细胞侵袭和转移的过程中发挥关键作用。uPA/uPAR的作用受到PAI1和PAI2的调控。恶性实体肿瘤中uPA/uPAR作用机制的示意图。GF,生长因子;LRP,脂蛋白受体相关蛋白;MMP,基质金属蛋白酶;PAI1,血浆型纤溶酶原激活物抑制剂;PAI2,血浆型纤溶酶原激活物抑制剂2;suPAR,可溶性尿激酶型纤溶酶原激活物受体;uPA,尿激酶型纤溶酶原激活物;uPAR,尿激酶型纤溶酶原激活物受体。
uPAR蛋白的结构特点
uPAR是一种糖蛋白,具有酶结合活性、蛋白质结构域特异性结合活性和信号受体结合活性。根据其表达形式的不同,uPAR蛋白可以是全长形式,也可以是特定结构域(如Domain 1)的截断形式。全长uPAR蛋白包含多个功能区域,如N端胞外域,该区域负责与SORL1等蛋白质的结合,形成复杂的三元复合物,影响PLAUR(PLAUR,即uPAR的人类直系同源物,与类风湿性关节炎相关)的内化。

uPAR蛋白的表达分布
uPAR广泛表达于多种组织和细胞中,包括蜕膜、脾脏等结构&纤维细胞、单核细胞、巨噬细胞、角质形成细胞、神经元、EC 和平滑肌细胞,炎症可诱导 uPAR 表达。作为质膜的一个组成部分,uPAR在细胞表面发挥着关键作用。此外,uPAR的表达水平在不同生理和病理状态下有所变化,据报道,在许多纤维化相关疾病中均观察到 uPAR 表达增加,包括心脏纤维化、特发性肺纤维化和 SSc。

uPAR蛋白在科研和临床中的应用前景
药物靶点:针对uPAR的药物研发和治疗策略具有重要的临床应用前景。通过抑制uPAR的功能,可以阻断肿瘤细胞的迁移和侵袭,从而达到治疗目的。此外,uPAR重组蛋白还可用于开发新型的药物载体和靶向递送系统,提高药物的疗效和减少副作用。
生物药物研发:uPAR重组蛋白在生物药物的研发和生产中也具有广泛的应用价值。通过与其他蛋白、抗体或药物结合,可以增强其生物活性、稳定性和靶向性,为新药研发提供有力支持。
基础研究:uPAR重组蛋白的制备为深入研究uPAR的结构与功能提供了重要工具。科研人员可以利用这些重组蛋白,探索uPAR在纤溶系统和细胞迁移中的作用机制,进一步揭示其在细胞凋亡、信号传导等过程中的复杂参与。
临床诊断:由于uPAR在各种中的高表达,它可能成为肿瘤等疾病的重要诊断标志物。通过检测患者体液中uPAR的水平,可以辅助诊断并评估疾病的进展和预后。
展望
uPAR蛋白作为一种具有广泛生物学功能的膜蛋白受体,在细胞外基质降解、细胞迁移和信号传导等过程中发挥着重要作用。随着对uPAR研究的不断深入,其在科研和临床中的应用前景将更加广阔。未来,随着生物技术的不断进步和创新,相信uPAR蛋白将会在更广泛的领域中展现出其独特的价值和潜力。
相关产品推荐
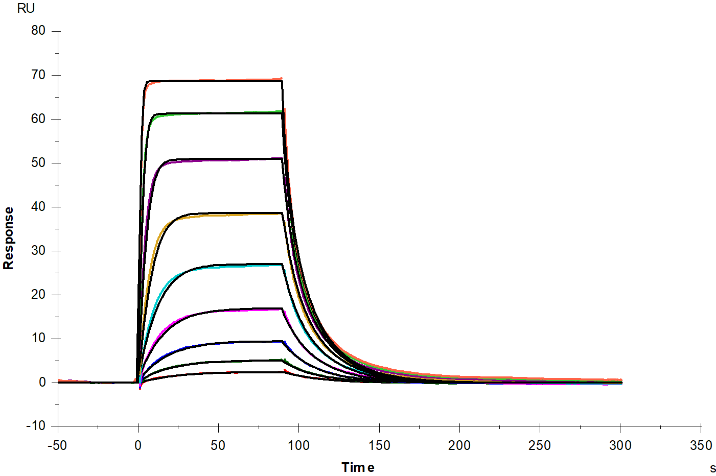
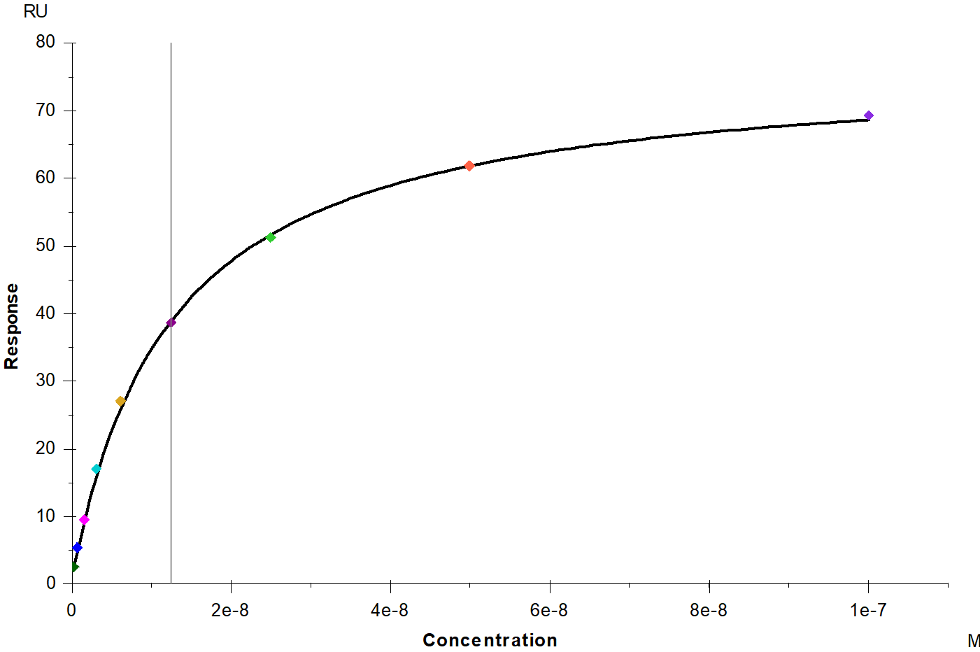
uPAR/CD87 His Tag Protein, Mouse 货号:UA010508
高活性、高纯度、低内毒素





1. Li, Y.; Cozzi, P.J. Targeting uPA/uPAR in prostate cancer. Cancer Treatment Reviews, 2007, 33, 521–527.
2. Ren, Y.; Bao, X.; Feng, M.; Xing, B.; Lian, W.; Yao, Y.; Wang, R. CD87-targeted BiTE and CAR-T cells potently inhibit invasive nonfunctional pituitary adenomas. Science China Life Sciences, 2024.
3. Kanno, Y. The uPA/uPAR System Orchestrates the Inflammatory Response, Vascular Homeostasis, and Immune System in Fibrosis Progression. International Journal of Molecular Sciences, 2023, 24, 1796.
杭州斯达特 (www.starter-bio.com)志在为全球生命科学行业提供优质的抗体、蛋白、试剂盒等产品及研发服务。依托多个开发平台:重组兔单抗、重组鼠单抗、快速鼠单抗、重组蛋白开发平台(E.coli,CHO,HEK293,InsectCells),已正式通过欧盟98/79/EC认证、ISO9001认证、ISO13485。