Olink Proteomics品牌商

1

手机商铺

qrcode
商家活跃:
产品热度:
  • NaN
  • 0
  • 1
  • 2
  • 1
文献支持
Olink Explore HT蛋白组学检测试剂
询价
品牌商

Olink Proteomics

入驻年限:1

  • 联系人:

    Olink China

  • 所在地区:

    上海

  • 业务范围:

    试剂、实验室仪器 / 设备

  • 经营模式:

    生产厂商

在线沟通

公司新闻/正文

Olink Explore HT助力脑脊液队列大规模无偏蛋白组学新发现

106 人阅读发布时间:2025-09-11 12:02


研究背景
细胞外囊泡(Extracellular Vesicles, EVs)是细胞分泌的纳米级膜结构囊泡,携带细胞来源的蛋白质、RNA和代谢物等生物活性分子,可以反映其来源细胞的生理和病理状态。因此,EVs在疾病诊断和治疗监测方面具有巨大的潜力,为液体活检提供了一种新的可能性,作为一种新型的液体活检标志物的潜力和应用,已经引起了广泛关注。然而,要实现这一潜力,关键在于能够准确识别和分离特定细胞来源的EVs。脑脊液(Cerebrospinal Fluid, CSF)蛋白含量相对较低,且更有可能包含脑组织特异性的生物标志物。因此,CSF 被认为是发现脑源性EVs生物标志物的理想样本。

文章推荐
哈佛大学和哈佛医学院研究团队近期国际期刊Journal of Extracellular Vesicles (IF=14.5)共同发表了新研究结果:该研究通过PEA蛋白组学技术,利用Olink HT Panel对CSF样本进行了大规模、无偏的蛋白组学分析,创建了潜在EVs相关标记物的数据集,这个数据集是一个重要的且强大的新资源,可用于识别脑源性EVs的新靶点。
图片


研究方法

脑脊液样本经过离心和过滤等预处理步骤出去杂质后,利用 Sepharose CL-6B 凝胶进行尺寸排阻色谱(Size Exclusion Chromatography, SEC)分离,将 EVs 从可溶性蛋白中分离开来。研究者巧妙地设计了分段收集策略,取后段的6-15馏分进行浓缩,分别基于Olink Explore HT panel对其中5,416种蛋白和Simoa对CD81进行分析和检测。此外,纳米颗粒跟踪分析用于表征EVs颗粒的大小和数量,而Western Blot则用于进一步验证特定蛋白存在和分布情况。这些技术相互补充,从不同角度为研究结果提供了有力的证据支持。


研究结果

 ●  不同馏分的EVs水平

通过前期研究中已经验证的Simoa检测法对CD81进行检测,发现EVs主要存在与第9和第10馏分中。对Olink Explore HT蛋白组学数据中的CD63进行分析,同样发现第9和第10馏分中蛋白水平显著高于第7,11,12,13馏分,与CD81的模式一致。而纳米颗粒追踪分析和Western Blot分析也验证了以上结论。
图片

 
● 
Olink技术样本检测结果

Olink技术以其高灵敏度、高特异性和高通量的特点,在这项研究中发挥了关键作用。Explore HT panel能同时对CSF可能存在的5,416种蛋白进行检测,在不考虑 LOD 的情况下,研究者鉴定识别出57种与EVs相关的独特跨膜和内源性蛋白。这些蛋白展现出了明确的EVs分离模式,即在SEC分离的第9和第10个馏分中,这些蛋白的NPX值显著高于其他,这表明这些蛋白与EVs的关联性较强,可能是潜在的EVs标志物。
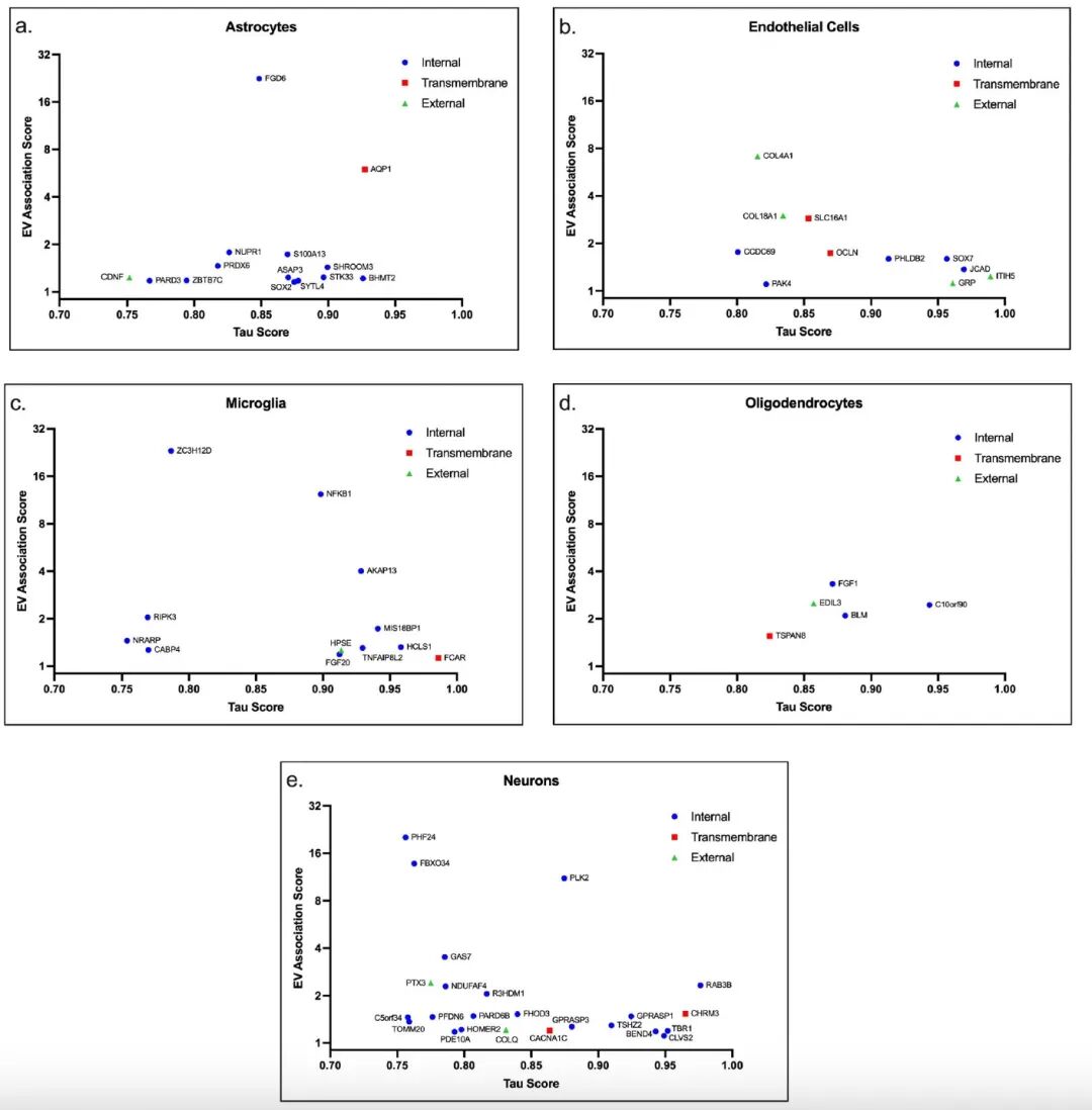
特别指出的是,基于LOD进行数据筛选可能会去除有意义的信号,尤其是在一种蛋白质在某一组中高度表达但在另一组中无法检测到的情况下。例如,Aquaporin 1(AQP1)是一种特异性存在于星形胶质细胞中的跨膜蛋白,只在第9馏分中其检出值高于LOD,而在其他馏分中均低于LOD值。然而研究者通过Western Blot分析验证了该蛋白的组分模式,得到与Olink相似的检测结果。因此,排除LOD以下的数据点可能会丢失有效的差异蛋白,正如本次研究中上述提到的Aquaporin 1(AQP1)。


● 
EV相关蛋白类型分析

研究者进一步结合BrainRNA-Seq 数据库,对这些潜在的 EV 相关蛋白进行了细胞类型特异性的分析,成功地识别出了一系列在特定脑细胞类型中的高表达蛋白,如星形胶质细胞、内皮细胞、小胶质细胞、少突胶质细胞和神经元等。这些蛋白不仅具有EVs分离模式,而且在特定细胞类型中的表达具有高度特异性,Tau特异性评分> 0.75,有望成为用于免疫捕获特定脑细胞来源EVs的标志物,以及用于验证EVs细胞来源的细胞内蛋白。
图片

写在最后
Olink 技术能够在一次实验中同时检测数千种蛋白质,极大地提高了研究效率。对于那些在CSF中含量较低的EVs相关蛋白,Olink技术凭借其高灵敏度也能精准地捕捉到它们的信号。这种高通量和高灵敏度的特性,使得研究者能够在相对较短的时间内,对大量蛋白质进行筛选和分析,加速了生物标志物发现的进程。在本项研究中多种检测方法和技术的协同验证,如Simoa和Western Blot等,也进一步验证了Olink检测数据的准确性和可靠性。


Olink技术提供了一种理想的蛋白组学分析平台,即能够满足研究者进行大规模、无偏的蛋白分析需求,快速筛选出特定的潜在标志物,其稳定可靠的数据也能为后续的验证和应用提供丰富的候选资源,为可用于临床诊断的生物标志物的筛选和开发奠定坚实的基础。

 

参考资料:

1.Norman M, et al. Toward Identification of Markers for Brain-Derived Extracellular Vesicles in Cerebrospinal Fluid: A Large-Scale, Unbiased Analysis Using Proximity Extension Assays. J Extracell Vesicles. 2025 Mar;14(3):e70052. 

上一篇

Olink高特异性蛋白质组学平台解锁渐冻症血液诊断新纪元

下一篇

Olink蛋白组学联合单细胞RNA检测解析细胞新奥秘

更多资讯

我的询价