锁核酸(Locked Nucleic Acid,LNA)作为一种特殊修饰的反义核酸分子而被广泛关注,LNA 是一种含有双糖环的核苷酸衍生物,通过 2’氧原子和 4’碳原子之间的亚甲基桥键,将糖环锁定成为一个双环的分子模式,从而能很好地限制糖环的灵活性(图 1)。LNA 在与 DNA/RNA 配对时,双螺旋结构随着 LNA 含量的增加向a构型转变,当核苷酸碱基变成a构型后,核酸酶既无法识别磷酸二酯建,从而提高核苷酸的稳定性。1

图 1:DNA,RNA 和 LNA 的结构
LNA 可以和单链 DNA, 双链 DNA,RNA 配对,形成的配对产物拥有较高的解链温度,每增加一个 LNA, Tm 值都会有所增加。LNA 在配对过程中有更高的序列特异性,错配的序列稳定性更差,配对形成的 LNA/DNA/LNA 结构,有很好的热稳定性和生物活性,这种结构也能激活 Rnase H。只含有 LNA 的寡核酸和 RNA 形成的螺旋能免受 Rnase 的降解,通过构建 DNA-LNA 嵌合体可以激活 Rnase H。从而可以通过不同的实验手段达到利用或抑制 RnaseH 活性的目的。研究发现,在端位引入 3 个 LNA 的核苷酸的半衰期是未引入的核苷酸的 10 倍。在乳腺癌细胞摄取实验中,LNA 也能能很好的被细胞吸收,也未发现毒性作用。LNA 寡核苷酸在自身免疫性心肌炎的抗炎作用也有了新的进展,科学家们也在期待着 LNA 在对抗冠状病毒方面有优异的表现。2,3
LNA 具有很多优点:
1、当与互补 DAN 和 RNA 杂交时,具有强大的亲和力,包含 LNA 单体的 DNA 和 RNA 有很好的热稳定性(表 1)。4
表 1:LNA 修饰后的 DNA 和 RNA 的融化温度
2、具有 LNA 修饰的 DNA/RNA, 在体内不易被降解,具有抗核酸酶能力,同时能自由通过细胞膜,体内无毒性等优点(图 2)。5

图 2:DNA,LNA/DNA,LNA/DNA/LNA 稳定性及抗核酸酶能力对比
此外,LNA-DNA 能激活 RNaseH; LNA 具有高效的自动寡聚化作用, 合成方法相对简单, 部分或完全修饰的 LNA 寡核酸链可用
氨基磷酸法在 DNA 自动合成仪上合成,LNA 的良好性质使其在体外及体内实验具有诱人的前景。
成都先导 UNA 相关服务
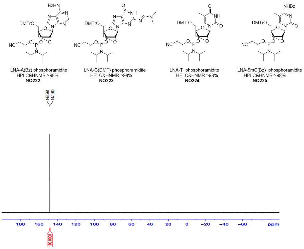
成都先导核酸化学能够为客户提供成熟的 LNA 分子合成砌块及 LNA 修饰的寡核苷酸合成服务,成都先导制备的 LNA 亚磷酰胺纯度高达 98% 以上(图 3,NO222 的 31P NMR 磷谱)。
LNA 产品列表

图 3: LNA 亚磷酰胺单体核磁共振磷谱
关于成都先导寡核苷酸合成业务
成都先导寡核苷酸合成业务提供从特殊单体合成、递送分子合成到寡核苷酸链合成以及寡核苷酸缀合物合成的一站式服务;能支持、提供多种修饰单体和定制化递送分子/脂质体合成,如:修饰亚磷酰胺,修饰核苷、核苷酸、GalNAc、脂质体等的合成。合成之外,还提供寡核苷酸的生物评价测试服务,如针对 ASO/siRNA 体外细胞活性筛选实验,稳定性/免疫原性/持续性测试和脱靶预测;体内动物实验的初步药效药代毒理研究等。也可以完成 CMC 部分的开发工作,如工艺开发、制剂研究、生产放大和质量分析方法开发等。
成都先导拥有全球先进的 DNA 编码化合物库技术,擅长多种 DNA 生物偶联化学技术,这让寡核苷酸合成业务的一站式服务拥有更高质量的技术支持,也兼具更省心的订购体验和更高效的交付流程,例如:通过内部配合实现物料流转,解决化学单体在保存和转运中不稳定的问题,保证合成的单体砌块及时投入核苷酸序列中,避免因为水分和稳定性带来的化学问题,并且能够针对特定的分子结构特征提出核酸合成的优化参数条件。
成都先导的资深化学专家团队拥有多年合成经验,可以支持从毫克到公斤级的合成制备规模,满足从小试验到工艺优化放大的需求,并能及时与客户做技术沟通,贯彻「客户为本」的服务宗旨。
参考文献
1、Liczner, Christopher, et al. Beilstein Journal of Organic Chemistry 17.1 (2021): 908-931.
2、Bockstahler, Mariella, et al. Immunology 165.1(2022): 158 – 170.
3、Durand, Mathieu, et al. Microbial cell, 9.1(2022): 1 – 20.
4、Koshkin, Singh, et al . Tetrahedron 54 (1998): 3607-3630.
5、Grünweller, Wyszko, et al. Nucleic Acids Res.31(2003): 3185-3193.