5 年
手机商铺
技术资料/正文
22 人阅读发布时间:2026-01-24 17:42
IDT NGS二代测序微小残留病灶MRD解决方案
——文库构建试剂盒、定制化Panel杂交捕获探针组
北京云肽生物科技代理的IDT NGS二代测序DNA建库试剂盒、定制化Panel杂交捕获探针组,为高效进行微小残留病灶(MRD)实验室基础研究提供了理想选择。
一、背景介绍
微小残留病灶(minimal residual disease, MRD)或分子残留病灶(molecular residual disease),是指癌症患者经过手术根治性治疗后,传统影像学或实验室方法不能发现病灶,但通过基于二代测序(NGS)的液体活检技术可检出癌细胞分子的情况。实体瘤患者检出微小残留病灶MRD代表癌细胞在体内持续存在,癌症复发风险高。微小残留病灶MRD在多种实体瘤中都具有很好的预后价值。
2021年初,结肠癌NCCN 2021.V2版指南出炉,在讨论部分中新增了对外周血循环肿瘤DNA(ctDNA)检测的描述。指南引用了三项临床研究,其均采用了结合肿瘤组织测序的ctDNA检测方案,论证了ctDNA指导的微小残留病灶MRD方法提示结肠癌患者接受治疗后复发可能的可行性。
目前实体瘤领域通过ctDNA检测微小残留病灶MRD的方法主要有两类,分别是基于血浆检测的tumor-agnostic方案(使用固定panel进行多位点覆盖的ctDNA检测)和基于组织先验的tumor-informed方案(先对组织进行WES全外显子测序以获得信息,再个性化定制panel进行ctDNA超深度测序)。不同实体瘤的个体化差异巨大, panel的设计需要深思熟虑;早期实体瘤释放到外周血中的ctDNA量非常少,对检测灵敏度要求非常高;ctDNA检测作为病程管理的一部分,检测的可重复性同样至关重要;这些因素对微小残留病灶MRD检测在实体瘤中的应用带来了巨大的挑战。
二、IDT NGS二代测序解决方案
IDT可以提供丰富的产品组合,满足从游离DNA样本文库构建到靶向捕获的全套需求。
1、IDT xGen cfDNA & FFPE DNA文库制备试剂盒
IDT xGen cfDNA & FFPE DNA文库制备试剂盒,支持对微量DNA样本进行灵敏且准确的变异检测。通过两步连接法,可在获得理想文库转化率的同时,抑制接头二聚体的形成。在单链连接的过程中,可引入特异性的分子标签(UMI)序列,以适配多种去重和错误校正的方法。实现用低品质样本建立高品质文库,助力微小残留病灶MRD研究。

优势
①为困难样本量身打造,更大化数据输出;
②提升样本转化率,达到更高的文库复杂度;
③结合UMI纠错处理,实现低频突变的检测。

图. IDT xGen cfDNA & FFPE DNA文库制备试剂盒提供了非常高的转化率和文库复杂度,从而在目标区域获得更好的覆盖深度。使用10ng的cfDNA标准品并按照IDT提供的标准流程进行文库制备,并用覆盖16kb的定制IDT xGen Custom Hyb Panels- Production 探针对文库进行靶向捕获。将捕获后的文库混合起来并在Illumina Nextseq 550 测序仪上进行测序。采用BWA(0.7.15)对测序数据进行比对,并用Picard(2.18.9)进行覆盖深度和复杂度(评估单一分子数,使用参数为HS文库大小)的计算。

图. IDT xGen cfDNA & FFPE DNA文库制备试剂盒提高对低频突变的检测灵敏度和特异性。使用25ng的cfDNA标准品按照IDT提供的标准流程进行文库制备,标准品中突变基因的频率(MAF)为0.25%。使用61kb的定制IDT xGen Custom Hyb Panels - Production 探针进行文库捕获,在测序后使用BWA(0.7.15)进行比对并按照IDT xGen cfDNA & FFPE试剂盒分析指南所述进行start-stop去重,或者按照combined read families的方法进行去重和错误校正。最后使用VarDict(1.5.8)识别变异。PPV=阳性预测值,是衡量突变检出准确度的指标。
2、IDT xGen Custom Hyb Panels - Production 探针库
IDT xGen Custom HybPanels - Production 探针是带有5′端生物素标记的DNA探针,每一条探针均经过单独合成、单独质检,可用于NGS二代测序中对目标序列进行富集。实验证明,与通过微阵列合成的捕获探针相比,IDT xGen Custom Hyb Panels -Production 探针实现的捕获均一性更高,GC偏好性更少,能够以更少的测序次数获得更佳的测序深度。IDT xGen Custom Hyb Panels - Production 探针库可用模块化的方式进行制备和使用,既可以独立使用,也可以通过spike-in panel的形式与现有的探针库结合使用,具有非常高的灵活性,是品质稳定、性能优异的捕获探针选择。
优势
①单独合成、单独质控的探针,实现高效均一的目标富集;
②模块化设计,实现经济高效的定制和简单轻松的目标靶点扩充;
③严格质控,降低批次间差异。
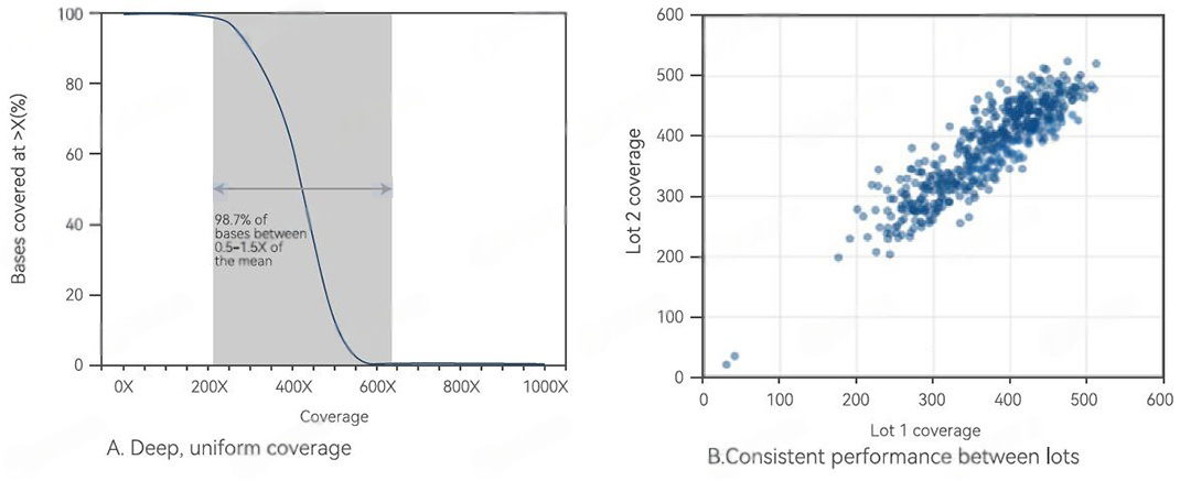
图3.使用IDT的探针库实现高度均一的目标区域覆盖。针对标准品基因组DNA(Coriell)构建文库,使用IDT xGen Custom Hyo Panels -Production 探针库进行捕获反应(目标区域为88kb)。富集后的文库在Illumina Nextseq测序仪进行测序,并对600K reads进行生信分析。结果显示,(A)单次测序的覆盖均一度较高;(B)同一个探针库的两个不同批次,显示出较高的一致性。
三、成功案例
重庆陆军军医大学西南医院余佩武教授团队,研究了基于ctDNA检测的微小残留病灶MRD水平与胃癌术后复发风险之间的联系,其研究成果论证了ctDNA作为新兴的生物标志物在胃癌疗效检测和预后评估中的临床意义。该研究中使用的定制捕获panel采购自IDT。
图.图中显示了影像学结果,ctDNA水平与肿瘤标志物CEA在术后的动态变化,提示了ctDNA检测在胃癌病人术后检测中的潜在应用价值。
参考文献
Yang, J., Gong, Y., Lam, V.K. et al. Deep sequencing of circulating tumor DNA detects molecular residual disease and predicts recurrence in gastric cancer. Cell Death Dis 11,346 (2020).
IDT为NGS靶向捕获实验提供端到端的产品覆盖,并在精准性、经济性和稳定性这三个方面具有显著优势。
①精确性:IDT埃丰富的UMI接头选择,结合以IDT xGen cfDNA & FFPE DNA文库制备试剂盒为代表的新颖的建库方法,可大大提高样本转化率和检测灵敏度;高质量的探针合成为高效检测体细胞突变和甲基化水平打下了坚实的基础,助力ctDNA的多维度研究。
②经济性:IDT xGen Custom Hyb Panels - Accel 探针库进一步降低使用门槛,加快探针交付速度,让新项目快人一步。
③稳定性:超过30年的寡核苷酸合成经验,结合独特的化学合成工艺和严格的质控方法,使IDT xGen Custom Hyb Panels - Production 探针组的表现稳定。
四、IDT微小残留病灶MRD相关产品
|
产品名称 |
规格 |
货号 |
|
IDT xGen cfDNA & FFPE DNA 文库制备试剂盒 |
16次 |
10006202 |
|
96次 |
10006203 |
|
|
IDT xGen Exome Hyb Panel v2 全外显子杂交捕获探针组 |
4次 |
10005151 |
|
16次 |
10005152 |
|
|
96次 |
10005153 |
|
|
IDT xGen Custom Hyb 探针库 |
16次 |
IDT xGen Custom Hyb Panels |
|
96次 |
||
|
定制 |