万千商家帮你免费找货
0 人在求购买到急需产品
- 详细信息
- 技术资料
- 库存:
182
- 英文名:
Citreoviridin
- CAS号:
25425-12-1
- 保质期:
长期
- 供应商:
北京百奥莱博科技有限公司
- 保存条件:
-20℃
- 规格:
1mg/5mg/10mg
特别提示:包括黄绿青霉素在内,本公司的所有产品仅可用于科研实验,严禁用于临床医疗及其他非科研用途!
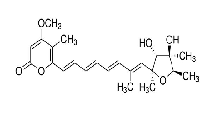
产品名称:黄绿青霉素
英文名称:Citreoviridin
产品货号:GH1001
产品规格:1mg/5mg/10mg
黄绿青霉素(Citreoviridin,CIT)是主要黄绿青霉菌(Penicillium Citreoviridin)产生的具有生物活性的代谢产物,由Ushinshy于20世纪40年代首次发现并分离提纯。目前研究业已证实CIT是一种具有心脏血管毒性、神经毒性、遗传毒性的真菌毒素.其急性中毒症状主要有瘫痪、麻痹、呕吐和呼吸衰竭。我国学者依据大量的流行病学研究提出克山病病区居民所食的霉变粮食是导致克山病的病因,并通过实验进一步证实霉变食物中所含的CIT是导致克山病的病因。
CAS号:25425-12-1
分子式:C23H30O6
分子量:402.48
含量:≥98%
溶解性:溶于乙醇,热苯
外观:为黄色粉末
结构式:
保存条件:-20℃密封避光干燥保存。
除了黄绿青霉素,,我公司还供应以下相关产品:
QN0709 聚乙二醇 PEG 20000 250g|500g|1kg|5kg
QN0710 聚乙二醇 PEG 8000 250g|500g|1kg|5kg
QN0761 螺内酯 1g
QN0814 甜菜碱 100g
QN0832 5-硝基愈创木酚钠 25g
SJ0059 乙酰丁香酮 1g
SJ0085 矮壮素 100g
SJ0110 胶原蛋白Ⅱ型(牛) 5mg
SJ0158 5"-单磷酸胞苷 100mg
SJ0189 葡聚糖 T-10 10g
SJ0208 D-无水葡萄糖 500g
SJ0250 托普霉素/妥布霉素 100mg
SJ0261 溴化乙锭 100mg|1g
SJ0325 草甘膦 1g
SJ0343 透明质酸酶 100mg
SJ0344 N-2-羟乙基哌*-N"-2-乙磺酸 25g|100g
SJ0347 8-羟基kuí啉硫酸盐 1g
SJ0361 甜菜碱 100g
SJ0377 L-天门冬酰胺 25g
SJ0378 L-精氨酸 25g
SJ0409 甲基伞形酮葡萄糖苷酸 1g
SJ0503 胃蛋白酶1:3000 5g
SJ0557 蜗牛酶 1g
SJ0577 凝血酶 1000U
SJ0633 X-Gluc 5mg
SJ0805 D-山梨糖 5g
QN1719 对称二苯硫* 25g
QN1721 D-脱硫生物素 500mg
QN1832 蓖麻油 500ml
QN1992 硫酸铝钾 500g
风险提示:丁香通仅作为第三方平台,为商家信息发布提供平台空间。用户咨询产品时请注意保护个人信息及财产安全,合理判断,谨慎选购商品,商家和用户对交易行为负责。对于医疗器械类产品,请先查证核实企业经营资质和医疗器械产品注册证情况。
技术资料暂无技术资料 索取技术资料
黄绿青霉素
¥380 - 3800









