相关产品推荐更多 >
万千商家帮你免费找货
0 人在求购买到急需产品
- 详细信息
- 文献和实验
- 技术资料
- 供应商:
柏莱源(天津)生物科技有限公司
- 库存:
大量现货
- 灵敏度:
0.35 ng/mL
- 应用:
适用于慢病毒工艺开发及慢病毒生成过程中的收获液上清、中间过程品和病毒制剂的物理滴度p24检测
- 检测方法:
酶联免疫吸附法(夹心法)
- 检测范围:
1.37-1000 ng/mL
- 规格:
96T
慢病毒滴度p24快速ELISA检测试剂盒说明书
货号:HG- P001L
产品简介:
在慢病毒载体制备的工艺开发过程中,需关注病毒载体质量标准的建立,包括病毒滴度、宿主细胞 DNA残留、宿主细胞蛋白残留。支原体等检测指标。测量病毒滴度对于病毒使用以及进行感染细胞是至关重要的,也是慢病毒载体生产的关键质量属性(CQA)。滴度检测包括物理滴度(病毒载体总颗粒数)和转导滴度(病毒载体感染性颗粒数)。物理滴度:载体特定蛋白/核酸的定量可用于载体颗粒数量(物理滴度)的估计。也即总颗粒数和基因组滴度表示病毒的物理数量,为物理滴度。例如,HIV-1衍生的慢病毒载体,可通过 ELISA方法检测病毒载体样本中的 p24 蛋白从而进行物理滴度的检测,也可以通过 qPCR 的方法检测载体基因组 RNA拷贝数而实现物理滴度的检测。
本试剂盒采用双抗体夹心法(一种 ELISA 法)检测供试品中的 p24总含量,通过换算,得到 p24 的物理滴度。使用预先包被有抗 HIV-1 p24 捕获抗体的微孔板,反应孔内加入标准品及待测样本,同时加入抗 HIV-1 p24二抗,室温孵育,形成抗体-抗原二抗复合物。洗涤除去未结合物,通过 HRP 催化底物 TMB 产生蓝色,终止后使用酶标仪在 450 nm~630 nm 波长下检测吸光度,根据标准曲线计算供试品中 p24 含量。
检测范围:1.37 ng/mL~1000 ng/mL
规格:
96 T
应用:
适用于快速检测基于HIV-1的慢病毒的p24蛋白含量测定。
产品组成:
| 组分 | 规格 | 存储条件 |
|---|---|---|
| Coated Plate | 1×96 wells | 2 ~ 8℃ |
| Anti HIV-1 p24+HRP | 6 mL | 2 ~ 8℃ |
| HIV-1 p24 Standard | S1 ~ S7,S0 | 2 ~ 8℃ |
| Virus Lysis | 6 mL | 2 ~ 8℃ |
| Sample Diluent Buffer | 50 mL | 2 ~ 8℃ |
| 10×PBST Wash Buffer | 50 mL | 2 ~ 8℃ |
| Color Reagent | 12 mL | 2 ~ 8℃ |
| Stop Solution | 12 mL | 2 ~ 8℃ |
| Plate Sealer | 5张 | 2 ~ 8℃ |
| Instructions for Use (IFU) | 1份 | 2 ~ 8℃ |
产品储存条件与有限期:
所有试剂在2 ~ 8℃条件下有效期为12个月,开封后,未使用完的试剂盒,仍在规定储存条件下保存。
需要准备的试剂、耗材与设备:
实验前请准备好下列试剂、耗材与设备:
◆ 生物安全柜
◆ 酶标仪(至少配备450nm和630nm波长)
◆ 各规格移液器(如1000 μL,200 μL,10 μL等)
◆ 涡旋仪
◆ 吸水纸
◆ 恒温振荡孵育器
◆ 1000 μL,200 μL,10μL 等低吸附枪头
◆ 离心机
◆ 去离子水
实验步骤:
1.检测流程图

总时长约1小时
| 组分 | 用量(μL) |
|---|---|
| DNase I | 1 |
| 10X Reaction Buffer with MgCl2 | 2 |
| RNase Inhibitor | 0.5 |
| 无酶去离子水 | 12.5 |
| 供试品 | 4 |
2. 准备工作
1. 打开生物安全柜紫外灯,照射30分钟。
2. 试剂盒提前从2-8℃冰箱取出后,于室温放置至平衡(30分钟及以上),保证本次实验检测所需试剂。试剂盒开启时要标注开启日期,优先使用先开启的试剂盒,同一批号试剂盒可以混用,不同批号试剂盒不可混用。准备本次实验所需要的Coated Plate,其它的可从微孔板上拆下,密封,按照说明书要求于2 ~ 8℃保存,以备下次使用。
3. 洗涤液配制:用去离子水将10×PBST Wash Buffer 稀释至1×Wash Buffer,混匀,即得。
4. 供试品溶液配制:供试品的稀释需在生物安全柜内操作,使用Sample Diluent Buffer进行稀释。供试品稀释或加样前,确认供试品已溶解并平衡室温,操作前使用90%体积量程的移液器连续匀速吹打混匀20次或低速振荡混匀,待供试品样本充分混匀后使用。稀释倍数可根据实际浓度进行适当调整。注意:单步稀释倍数不应高于10倍。
5. 标准品浓度确认:
| HIV-1 p24 Standard | 标准品浓度(ng/mL) |
| S1 | 1000 |
| S2 | 333.33 |
| S3 | 111.11 |
| S4 | 37.04 |
| S5 | 12.35 |
| S6 | 4.12 |
| S7 | 1.37 |
| S0 | 0 |
6. 内控溶液配制(200 ng/mL标准品):取80 μL Sample Diluent Buffer,加入1000 ng/mL 标准品(S1)20 μL,混匀即得。
7. 加标质控溶液配制:取供试品溶液20 μL,加入20 μL 的200 ng/mL标准品,混匀,即得。
8. 阴性对照样本:取Sample Diluent Buffer直接检测。
9. 加样板布局(仅供参考,可根据实验实际需要进行调整):
| / | 1 | 2 | 3 | 4 | 5 | 6 | 7 | 8 | 9 | 10 | 11 | 12 |
| A | SO | SO | S#01 | S#01 | S#09 | S#09 | S#17 | S#17 | S#25 | S#25 | S#33 | S#33 |
| B | S7 | S7 | S#02 | S#02 | S#10 | S#10 | S#18 | S#18 | S#26 | S#26 | S#34 | S#34 |
| C | S6 | S6 | S#03 | S#03 | S#11 | S#11 | S#19 | S#19 | S#27 | S#27 | S#35 | S#35 |
| D | S5 | S5 | S#04 | S#04 | S#12 | S#12 | S#20 | S#20 | S#28 | S#28 | S#36 | S#36 |
| E | S4 | S4 | S#05 | S#05 | S#13 | S#13 | S#21 | S#21 | S#29 | S#29 | S#37 | S#37 |
| F | S3 | S3 | S#06 | S#06 | S#14 | S#14 | S#22 | S#22 | S#30 | S#30 | S#38 | S#38 |
| G | S2 | S2 | S#07 | S#07 | S#15 | S#15 | S#23 | S#23 | S#31 | S#31 | ERC | ERC |
| H | S1 | S1 | S#08 | S#08 | S#16 | S#16 | S#24 | S#24 | S#32 | S#32 | NC | NC |
10.加样:取出已平衡至室温的Coated Plate,依次加入Virus Lysis,50 μL/孔;再分别加入HIV-1 p24 Standard 0 ng/mL、1.37 ng/mL、4.12 ng/mL、12.35 ng/mL、37.04 ng/mL、111.11 ng/mL、333.33 ng/mL、1000 ng/mL、供试品溶液、阴
性对照、加标质控溶液、内控溶液,各10 μL/孔,平行2孔。
11.加酶标二抗:每孔加50 μL Anti HIV-1 p24+HRP。
12.孵育:用封板膜封板后,放置恒温震荡孵育器中,调节参数,室温18 ~ 25℃,500转/分钟,孵育30分钟。
13.洗涤:在生物安全柜内,小心揭掉封板膜,将板孔内液体倾倒于废液缸中,在事先准备好的吸水纸上将板孔内液体拍干,每孔加入300 μL 1× Wash Buffer,静置30秒后,将板孔内液体倾倒于废液缸中,在吸水纸上拍干(确保孔内无残留液体),如此重复4次。
14. 显色:加入Color Reagent,各100 μL/ 孔。此步骤需要在生物安全柜中避光操作(关闭照明)。
15. 孵育:用封口膜封板后置恒温震荡孵育器中,调节参数,室温18 ~ 25℃避光孵育5 ~ 10分钟。
16. 终止:孵育结束后,加Stop Solution各100 μL/孔,在25分钟内,用酶标仪于450nm检测波长、630nm 参比波长下读取吸光度。
结果分析:
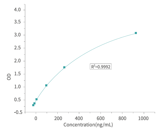
1. 以标准品的吸光度为纵坐标,浓度为横坐标,采用四参数拟合方式对标准曲线进行拟合。
2. 示意图:

3. 结果计算
1). 供试品最终p24含量(ng/mL)计算公式
供试品最终p24含量(ng/mL)=稀释倍数×四参数拟合供试品p24含量
2). 病毒颗粒数(PP/mL)计算公式
病毒颗粒数(PP/mL)=供试品最终Lenti-p24含量×1.25×107
3). 内控溶液回收率计算
回收率% = 内控检测浓度/内控理论浓度 × 100%
4). 加标回收率的计算
回收率% =(加标检测浓度×总体积)-(供试品检测浓度×供试品体积)/加标理论浓度 × 加标体积 × 100%
4. 系统适用性
1. 对于检测值≥1.37 ng/mL的检测复孔(包括标准品,加标质控样品和检测样品),复孔OD CV值需≤20%;
2. 标准曲线决定系数R² > 0.980;
3. 内控溶液回收率为70% ~ 130%
4. 加标质控样本的回收率在70% ~ 130%之间;
风险提示:丁香通仅作为第三方平台,为商家信息发布提供平台空间。用户咨询产品时请注意保护个人信息及财产安全,合理判断,谨慎选购商品,商家和用户对交易行为负责。对于医疗器械类产品,请先查证核实企业经营资质和医疗器械产品注册证情况。
文献和实验《体外基因修饰系统药学研究与评价技术指导原则(试行)》
技术资料暂无技术资料 索取技术资料










