7 年
手机商铺
技术资料/正文
371 人阅读发布时间:2024-10-16 09:49
摘要
在药物研发领域,蛋白质、肽和寡核苷酸等生物聚合物的界限正在逐渐模糊。因此,通过灵活的合成平台快速获取这些分子对于竞争性药物开发至关重要。
本应用重点介绍了在 PurePep® Chorus 仪器上成功合成短寡核苷酸(18-24 个碱基)序列,展示了其在肽合成之外的多功能性。
简介
现代药物研发融合了多种新药物类型,例如寡核苷酸序列、RNA、靶向蛋白质降解剂以及下一代多肽(例如“超越 5 规则”的环肽)。1为了保持针对特定靶标的潜在药物的研发竞争力,快速灵活地获取这些分子至关重要。
合成寡核苷酸在分子生物学和医学领域中的作用日益突出。从基因调控研究到肿瘤诊断、治疗和疫苗研发,寡核苷酸在我们的日常生活中变得越来越重要。2
Gyros Protein Technologies以其在全自动固相多肽合成仪领域的长期卓越表现而闻名。这些仪器的核心是 PurePep Pathway技术,这是一种流路阀块系统,可在惰性气体环境下将液体从溶剂/试剂瓶移动到反应容器中。由于寡核苷酸合成也需要惰性环境条件,我们着手使用模块化 PurePep Chorus 合成仪将化学合成范围从肽扩展到寡核苷酸。
本应用说明将展示如何实现短寡核苷酸引物的全自动合成,包括11 个 18-mer至 24-mer引物和已知药物。
方法
寡核苷酸合成循环
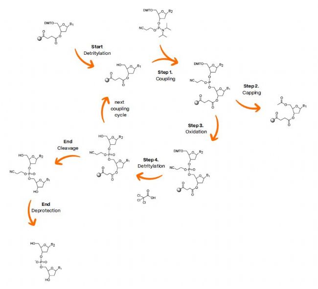
寡核苷酸固相亚磷酰胺化学合成循环涉及以下步骤(图 1):3,4
脱保护:循环由去除固相载体连接核苷的 5’-DMT(4,4’-dimethoxytrityl)保护基开始。
循环步骤 1:偶联
一旦 DMT 被去除,固相载体连接核苷的游离 5’-OH 基团就能够与下一个作为亚磷酰胺单体添加的核苷发生反应。Tetrazole或5-(ethylthio)-1H-tetrazole用作偶联的催化剂。
循环步骤 2:封端
一些 5’-OH 基团将保持未反应状态。这些羟基将在下一个循环中发生反应,导致序列中缺少碱基(缺失序列)。为了防止缺失突变的积累,实施常规的封盖反应。

图 1 亚磷酰胺化学合成方法概述
循环步骤 3:氧化
氧化反应将不稳定的亚磷酸三酯转化为稳定的磷酸三酯——氧化后的额外封端步骤对整个反应混合物起到脱水的作用。
循环步骤 4:脱三苯甲基化
在启动下一个偶联循环之前,DMT 保护基团被去除.
以裂解和脱保护结束
最终,用氨将全长寡核苷酸从固相中裂解下来,并进行热处理以去除杂环碱基和磷酸二酯。
表 1 本研究期间合成的寡核苷酸。5

PurePep Chorus 上的寡核苷酸合成
我们采用 PurePep Chorus 肽合成仪,以 5 μmol 的规模,使用 Glen Research、Maravai LifeSciences 的可控孔径玻璃(CPG) 合成载体(Subst. = 0.025 至 0.050 mmol/g),合成了表 1 中所示的不同寡核苷酸。
反应细节如下:
偶联(步骤 1)使用 0.5 mL 0.1 Mnucleotide phosphoramidite(ACN 溶液)和 0.5 mL 0.5M 5-ethylthio-H-tetrazole(ACN 溶液)反应 2 x 2 分钟。
封端(步骤 2)使用 0.5 mL Ac2O/Lutidine/THF 1:1:8 v/v 混合物和 0.5 mL 20% v/vN-Me--imidazole(THF 溶液)反应 2 分钟(偶联后),氧化步骤后反应 1 分 10 秒。
氧化(步骤 3)使用 含0.1 M iodine 的 THF/pyridine/water 88:10:2 v/v溶液反应 2 分钟。
脱三苯甲基化(步骤 4)使用 含3% 三氯乙酸 (TCA) 的二氯甲烷 (DCM) 反应 2 x 2 分钟。
裂解用 30% NH4 OH 水溶液和 40% methylamine水溶液的 1:1 v/v 混合物在室温下反应 1 小时。
每个步骤之间用yiqing (ACN) 清洗:脱保护和偶联之间洗涤 4 x 15 秒;偶联和封端、封端和氧化以及氧化和第二次封端之间洗涤 2 x 15 秒;第二次封端和脱保护之间洗涤 3 x 20 秒。
始终使用储存在分子筛上的干燥yiqing,并在所有液体转移和 CPG 干燥过程中使用氩气,尽量减少暴露在空气中。
使用 0.05M ((N,N-dimethylaminomethylidene)amino)-3H-1,2,4-dithiazole-5-thione (DDTT) 在pyridine/ acetonitrile (3:2)中进行硫化 1 分钟。
纯化
所有截短序列均通过封端乙酰化,且不携带疏水性 DMT 保护基团。脱盐,并使用 Glen-Pak DNA 纯化柱 (PN 60-5200-10) 通过反相固相萃取以 1 µmol 的规模将截短序列与 DMT 靶序列分离。
分析
将粗寡核苷酸溶液(100 uL 裂解溶液中取 5 uL)稀释在 165 uL isopropanol (i-PrOH)/ACN/water(7:1:2)混合溶液中,然后在 Shimadzu HPLC (SPD-M20A 光电二极管阵列检测器)上进行分析(3 uL 注射量)。分离在 C18-PFP、100 Å、3.0 μm、100 x 3.0 mm柱(Mac-Mod ACE Excel C18-PFP)上进行,耗时 15 分钟,流速为 0.8 mL/min,使用 5-50% B / A 的梯度,其中缓冲液 A 为 0.1 M triethylamine acetate (TEAA) 水溶液(pH 7),缓冲液 B 为纯 ACN。在四个波长处监测吸光度, 260 nm 检测数据用于分析报告。在 ShimadzuLCMS2020 单四极杆 ESI 质谱仪上进行质谱检测。另外,在 Agena Biosciences 公司使用 MALDI-TOF 质谱仪 MassARRAY Analyzer (Agena Biosciences, Inc.) 对最终产品进行质量测定。

图 2 通用 pBluescript SK 引物合成的 UV260 nm 色谱图,步骤 1 至 6(粗品、微裂解液)
结果与讨论
寡核苷酸合成证明
在寡核苷酸序列 #1 的合成过程中,每次延伸至 8-10 个核苷酸的长度后,都会通过 LC/MS 监测增长的寡核苷酸链(图 2)。
色谱图表明,通过 PurePep Chorus 合成器上的自动寡核苷酸合成,可以有效延长目标序列。
采用 DMT-on 纯化的高质量寡核苷酸
受到寡核苷酸偶联研究初步结果的鼓舞,我们继续合成寡核苷酸 #2。在这个例子中,我们强调了如何使用 DMT-on方法轻松去除杂质。图 3 显示了纯化前的粗 DMT-on寡核苷酸(A 和 C)和纯化后的 DMT-off寡核苷酸(B 和 D)。虽然从 UV 色谱图可以看出改进,但通过 MS 分析观察到剩余的截短序列(D)。对于 #2 也可以观察到这种现象,其中多个截短序列隐藏在产品主峰下(图 4)。

图3 粗Genasense G3139 (DMT on)[A]和脱盐Genasense 3139 (DMT off)[B]的UV260 nm色谱图及其分别的MALDI-TOF质谱[C]和[D]。
与肽合成一样,截短序列的形成是一个主要问题,尤其是对于较长的序列。每个偶联步骤都会向样品中添加一小部分。然而,在寡核苷酸合成中,这种复杂性更加关键,因为目标序列和截短序列具有非常相似的物理化学性质,因此难以用色谱法分离。DMT-on 方法是解决这个问题的一个非常简单的方法,但是为了获得非常高的峰纯度,需要采用额外的纯化技术。

图 4 脱盐通用 pBluescript SK 引物 (DMT 关闭) 的 UV260 nm 色谱图 [A] 及其 MALDI-TOF 质谱 [B]。
不同寡核苷酸的自动合成
寡核苷酸序列 #3 至 #7 在 PurePep Chorus 上自动合成,并用 DMT-on 方法纯化,纯度非常好,如表 1 所示。
修饰寡核苷酸合成
研究表明,硫代磷酸酯有助于缓解体内使用寡核苷酸所面临的主要挑战,因为它可以降低各种细胞外和细胞内核酸酶的活性,并通过质膜将寡核苷酸递送到细胞内部。6在本研究中,我们合成了三种硫代磷酸酯(#7 - #9)。
硫代磷酸酯衍生物合成过程中使用的硫化过程(图 5)已知会产生立体异构体 α-磷原子,通常会产生非对映异构体。硫代磷酸酯寡核苷酸的这种固有特性使其分析 HPLC 谱图复杂化,因为所得非对映异构体的洗脱时间会略有变化。在这些情况下,在分析 RP-HPLC 和 IE-HPLC 谱图中可能会观察到分裂或增宽的产物峰。7

图 5 磷酸二酯和硫代磷酸酯核苷酸间连接
结论
PurePep® Chorus 肽合成仪可在惰性条件下成功合成多种短(18-24 个碱基)寡核苷酸序列。我们还展示了使用相同平台合成硫代磷酸酯和其他标记和特殊取代的寡核苷酸的方法。
结果一览
在 PurePep Chorus 上将合成能力从肽扩展到寡核苷酸
通过 DMT-on 纯化有效获得高质量的短寡核苷酸序列
在自动合成过程中应用硫化反应以扩大化学灵活性
参考
[1] M.-J. Blanco et al., ACS Med. Chem. Lett. 2022, 13,1691 - 1698
[2] L. Moumné et al., Pharmaceutics 2022, 14, 260
[3]https://www.sigmaaldrich.com/US/en/technicaldocuments/technical-article/genomics/pcr/dnaoligonucleotide-synthesis
[4]https://www.idtdna.com/pages/education/decoded/article/oligo-synthesis-why-idt-leads-the-oligo-industry
[5] https://www.lslabs.com/resources/universal-primer-list
[6] S.D. Putney et al., PNAS 1981, 78, 7350-735
[7]https://www.sigmaaldrich.com/US/en/technicaldocuments/technical-article/analytical-chemistry/largemolecule-hplc/profile-analysis-of-phosphorothiolatedoligos
PurePep Chorus全自动高通量多肽合成仪

可配置2、4或6个反应容器
选配可控感应加热和振荡混匀
选配实时紫外线监测
内置PurePep Pathway流路系统
Single ShotTM液体传输技术
直观的操作软件
自动原位切肽
自动多肽纯化